- +1
重访“新闻名篇”|告慰袁隆平:“禾下乘凉梦”后继有人
【编者按】
共和国新闻史上,有不少新闻名篇曾经震撼人心,今天读来依旧心潮澎湃。
春天,是出发的季节。这个春天,澎湃新闻记者重访“新闻名篇”故事发生地、人物出生地,再现壮阔的历史瞬间,更实地感受今昔沧桑巨变。那是共和国的来时路。
今天回访的是新闻名篇《喜看稻菽千重浪——记首届国家最高科技奖获得者袁隆平》的主人公袁隆平曾长期工作、生活的地方。

设计:王璐瑶
4月中旬的湖南长沙,春雨绵绵。
4月15日下午,在隆平水稻博物馆内,从浙江杭州来长沙旅游的包女士,看到袁隆平写给母亲的信《妈妈,稻子熟了》时,不禁泪流满面。
“我出生于1956年,小时候饿过肚子。没有袁隆平,大家吃不饱饭。我们要感谢他。”眼角挂着泪痕的包女士说,这次到长沙,她特地来隆平水稻博物馆看看。
个人命运转弯的背后,映射着一个国家粮食安全的转折。
2001年2月22日,《科技日报》头版刊发了由著名科普作家、时任《科技日报》机动记者部主任沈英甲采写的人物通讯《喜看稻菽千重浪——记首届国家最高科技奖获得者袁隆平》(以下简称《喜看稻菽千重浪》)。

2001年2月22日,《科技日报》刊发的人物通讯《喜看稻菽千重浪——记首届国家最高科技奖获得者袁隆平》。 图片来源:科技日报官方微信公众号
《喜看稻菽千重浪》写道:“杂交水稻的研究成功开辟了粮食大幅度增产的新途径,大面积推广给我国水稻生产带来了一次飞跃。有人统计过,杂交水稻比常规稻增产20%左右,1976—1999年,每年增产的稻谷可以养活6000万人口,为从根本上解决我国粮食自给自足难题作出了重大贡献。”
这篇通讯刊发几年后入选粤教版《高中语文(必修五)》,后经沈英甲本人修改又选入2019年秋正式投入使用的教育部统编版普通高中语文必修课本,影响深远。很多人特别是青少年一代,不仅了解了“杂交水稻之父”、中国工程院院士袁隆平为我国粮食自给自足所做出的贡献,而且被他的创新精神所激励、鼓舞。
如今,距这篇通讯发表已25年,距袁隆平院士逝世也已5年,他曾长期工作的湖南杂交水稻研究中心有了哪些新变化?他最关心的杂交水稻研究有了哪些新进展?他的“禾下乘凉梦”和“杂交水稻覆盖全球梦”是否后继有人?
近日,澎湃新闻记者来到湖南长沙,走进袁隆平曾长期工作的湖南杂交水稻研究中心、国家杂交水稻工程技术研究中心,为这些问题寻找答案。
“变”与“不变”
4月中旬的长沙,细雨中弥漫着香樟树的花香。
从隆平水稻博物馆往东北方向行车不到4公里,就到了位于马坡岭的湖南杂交水稻研究中心。这是湖南省农业科学院下属副厅级事业单位,由袁隆平于1984年创立,是中国首家杂交水稻专业科研机构。1995年,国家杂交水稻工程技术研究中心依托该研究中心成立。
这里是袁隆平人生后半程长期工作、生活的地方。

湖南杂交水稻研究中心行政楼,袁隆平以前的办公室位于该楼三层东侧。本文图片除专门标注外,均为澎湃新闻记者 程婷 摄
《喜看稻菽千重浪》开篇写道:“2001年春节过后的第二天,湖南长沙马坡岭笼罩在薄雾之中,空中不时飘下雨点。袁隆平眯起双眼,出神地打量着这几百亩试验田,然后跨过水渠,迈步走进田间。他蹲下身子翻看着土壤。”
近日,回忆那次采访时,沈英甲说,“当年袁先生是因为我卷起裤腿跟他一起下田,才爽快答应接受采访。”
已年过七旬的沈英甲还记得,当年他采访结束向袁隆平辞行,袁隆平特地起了个大早送他。沈英甲提出想要一簇超级稻种作纪念,袁隆平睁大了双眼看着他说:“要多少?要多少我都给你!”因此,那天早上,沈英甲是握着一簇超级稻种离开雾蒙蒙的长沙马坡岭的。
25年过去后,很多东西都变了,很多东西还没变。
如今,从湖南杂交水稻研究中心西南门出来,沿着东湖路下行约300米,依然还能看到袁隆平曾频繁劳作的那片科研试验田。

袁隆平曾频繁劳作的科研试验田。
在这片试验田对面建筑的墙上,一幅袁隆平查看稻穗图格外醒目。图中的袁隆平,手里捏着稻穗,仿佛面对着眼前这片试验田若有所思。

试验田对面的建筑墙面上,是一幅袁隆平查看稻穗的图画。
国家杂交水稻工程技术研究中心主任邓华凤说,由于城市发展等原因,2015年湖南杂交水稻研究中心将科研基地外搬至长沙县春华镇金鼎山试验基地,那里面积更大,科研设施设备也好;现在马坡岭这片试验田已不再是承担试验工作的主阵地。
邓华凤1984年从湖南省安江农校毕业后留校工作,后于1998年调入湖南杂交水稻研究中心工作。他师从袁隆平,长期从事杂交水稻研究。
在袁隆平的启发激励下,邓华凤于1987年首次发现籼稻温敏核不育材料,之后育成世界上首个籼型水稻温敏核不育系——被袁隆平命名为“安农S-1”,并创建了两系法杂种优势利用技术体系。
“袁老师的家就在湖南杂交水稻研究中心院内。他从家里出来,穿过一小段香樟绿道,往左手边一转,就到了他办公室所在的行政楼。”邓华凤说,“进入行政楼后,右手边就是电梯,袁老师一般乘电梯到他在三楼东侧的办公室。”
2021年5月22日,袁隆平在长沙与世长辞,享年91岁。他设在办公室旁的会客室,还保持着他在世时的样子:里面摆放着几张沙发,墙上挂着巨幅的水稻成熟的图片,图上写着“湖南溆浦 首次亩产突破1000公斤”,落款是“袁隆平”。
“袁老师以前经常在这里会客,他很喜欢这幅图。”邓华凤说。

袁隆平生前办公室旁的会客厅内,有一幅稻穗图,上面写有“湖南溆浦 首次亩产突破1000公斤”。
“在各国水稻科研工作者心目中,位于长沙马坡岭的国家杂交水稻工程技术研究中心已成为圣地。”沈英甲在《喜看稻菽千重浪》中写道。
在路过湖南杂交水稻研究中心内的杂交水稻培训中心大楼时,邓华凤说:“有很多来自国内外的业界人士来这里参加杂交水稻相关培训、学习。”
谈到变化,湖南杂交水稻研究中心主任、湖南农业大学校长唐文帮说,现在的科研条件比以前好了很多。“上世纪90年代我们搞育种是‘一把尺子一杆秤,手扒脚蹬’,如今我们有世界领先的水稻研究实验条件,仪器设备能做到纳米、微米级别。我现在一般周末或假期下田,平时主要在实验室。因为现在田间数据能直接传回实验室,我在岳麓山实验室不下田就可以掌握团队数据。”唐文帮自豪地说道。

位于长沙岳麓山实验室的“杂交水稻全国重点实验室”。
“吃饱”到“吃好”
一幅图和“湖南溆浦,首次亩产突破1000公斤”这短短十几个字,记录了一个重要历史时刻。
2014年10月10日上午,农业部组织专家对由袁隆平领衔的第四期中国超级稻亩产1000公斤攻关项目进行了测产。测产结果显示,湖南省溆浦县第一期超级稻百亩片亩产超过了1000公斤,创造了1026.7公斤的新纪录。
2001年刊发的《喜看稻菽千重浪》里则是另一番情况:“现在我们试验田种的杂交稻每亩产700千克,农民种的亩产能达到800千克甚至更高,因为他们大量采用有机肥。还有比这更令他欣慰的事吗?”
《喜看稻菽千重浪》还写道:“杂交水稻的研究成功开辟了粮食大幅度增产的新途径,大面积推广给我国水稻生产带来了一次飞跃。有人统计过,杂交水稻比常规稻增产20%左右,1976—1999年,每年增产的稻谷可以养活6000万人口,为从根本上解决我国粮食自给自足难题作出了重大贡献。
“1997年,袁隆平提出了超级杂交稻选育的指标、株型模式和技术路线,选育出一批具有超高产潜力、米质优良的亚种间苗头组合,小面积最高产量达每亩1139千克(每公顷日产 107.4 千克),达到了日产量100千克/公顷的超级稻产量指标。如果按年推广2亿亩计,年增粮食可养活7000多万人口。袁隆平对我说,这是对看上去表情显得十分深沉的美国经济学家布朗‘未来谁来养活中国’疑问的有说服力的回答。
“美国学者唐·帕尔伯格在他《走向丰衣足食的世界》一书中写道:袁隆平使‘饥饿的威胁在退却,袁正引导我们走向一个营养充足的世界’。”
关于袁隆平投身杂交水稻研究的缘起,《喜看稻菽千重浪》中写道:“20世纪五六十年代我国普遍发生的饥馑给袁隆平留下了刻骨铭心的印象。那时在湖南一所偏僻山村农校——湘西雪峰山麓的安江农校任教的青年袁隆平便下定决心,拼尽毕生精力用农业科技战胜饥饿。”
但袁隆平的梦想不止于解决温饱问题。
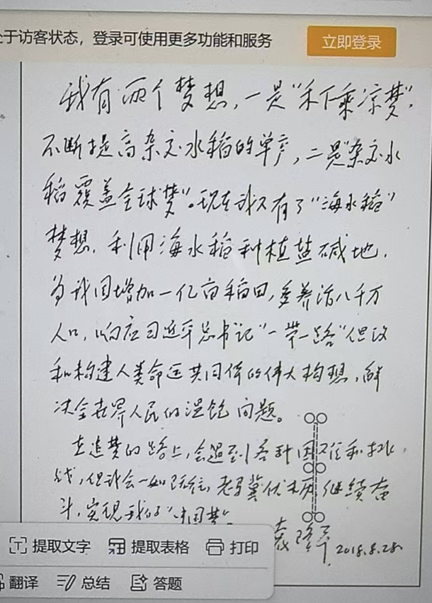
2019年10月23日,袁隆平曾在《人民日报》刊发文章自述过他的两个梦想。他说:“科学探索无止境,在这条漫长而又艰辛的路上,我一直有两个梦,一个是禾下乘凉梦,一个是杂交水稻覆盖全球梦。”
“你知道‘禾下乘凉梦’的本义是什么吗?”湖南杂交水稻研究中心主任唐文帮抛出问题后解释道,“这个袁老师曾明确谈到过,就是‘高产’——不断提高杂交水稻的单产。”

袁隆平2018年亲笔写下的三个梦想。湖南杂交水稻研究中心 供图
袁隆平逝世之后,杂交水稻的单产又有了突破性提高。
“袁老师生前念念不忘的亩产1200公斤,8年没搞出来,这跟‘爬坡’有关。”唐文帮说,“在他离开后,我们调整了攻关思路,按照他最早提出的‘亚种间杂种优势利用’方向去做,2023年实现亩产突破1251公斤,刷新了超级稻单季产量世界纪录。”
“为进一步突破单产量,我们在湖南省的支持下,由岳麓山实验室、湖南省农科院杂交水稻中心、湖南农业大学组成团队,借助数字技术、人工智能搞杂交水稻育种,目前正在通过人工智能对杂交水稻单产量、性状等进行建模。”唐文帮介绍。
在实现“吃饱”、高产目标的同时,杂交水稻研究团队也在不断追求如何让大家“吃好”、吃得安全健康。
“在培育出亩产突破1251公斤的品种前,我和我的团队培育了一种亩产超过1200公斤的品种‘卓两优1126’。我们把高效肥料利用基因、抗病基因等都融到了品种里,种植中不依赖‘大肥大水’的投入模式,还能实现高产、高效、好吃。”唐文帮介绍,目前,“卓两优1126”品种已在湖南、云南、贵州、海南等地推广种植。
他说,以前杂交水稻追求“高产+品质”,现在追求“品质带动高产”,要求“优质、高效、高产”。
继承“禾下乘凉梦”
这些成果的背后,满是杂交水稻“育种人”克难攀高的故事。
回顾与袁隆平相关的往事时,唐文帮说,“袁老师就是不信‘自花授粉作物没有杂种优势’,那么多人反对超高产,他坚持做;2016、2017年那么多人说耐盐碱水稻是‘伪命题’,他顶着压力做。”
如今,新一代“育种人”继承了袁隆平的梦想,也继承了他永无止境地攀登与敢于不断创新突破的精神。
袁隆平晚年,在“两个梦想”之外又提出了“海水稻”梦想,将很大一部分精力投向了耐盐碱水稻研究。
“袁老师这是出于战略考虑。”唐文帮说,“现在我们在粮食上‘无近忧’,但吃饭问题永远是头等大事。耐盐碱水稻就像核武器,可以不用,但需要时必须有。”
现在,“箐两优3261”等适宜滨海盐渍地大面积推广种植的水稻品种已被培育出来,在千分之三盐度的滨海盐碱地上能稳定产粮,且米质达到行业一级优质标准。
关于杂交水稻推广,邓华凤提到,当前面临“三高一低”(劳动力成本、农资成本和土地成本升高,导致种植效益降低),农业机械化率低,粮食未按用途分类、专用化程度不够等问题。
对于这种看似与育种技术无关的挑战,新一代“育种人”提出了从育种技术出发的解决方案。
比如,针对“三高一低”问题,培育抗病抗虫、氮磷钾高效利用的品种,从而达到减少农药和化肥使用、降低成本的效果;针对机械化率低,培育抗倒伏、不易脱粒、整齐度高的适应机械化收割的品种;针对专用化程度不够,培育专用型杂交水稻,如酿酒专用稻,进行区域化种植。
“以前只求吃饱,现在还要好吃、好看、好闻、加工性好,甚至吃了不长胖。”唐文帮也谈到,面对新形势、新挑战,杂交水稻要发展,必须在品种、品质、品位、品牌上下功夫,做精品农业,与时俱进。
谈到袁隆平的“杂交水稻覆盖全球梦”,唐文帮表示,“这方面,中国的人、技术、资源已经‘走出去’了,菲律宾、巴基斯坦、孟加拉、印尼、马达加斯加等国都在推广种植我们的杂交水稻。”

隆平水稻博物馆内,讲解员带领游客了解杂交水稻为世界所作的贡献。
他认为,面对全球种业竞争,特别是生物育种技术的迅猛发展,杂交水稻要保持领先,就要拥抱变革,主动竞逐。
“第三代杂交水稻(智能不育系技术)我们已做好技术储备,一旦相关政策放开,可以立即应用。”唐文帮介绍,这是比现有两系法更便捷高效的育种技术。
对于身兼湖南杂交水稻研究中心主任和湖南农业大学校长两个重要职务的唐文帮来说,培养“禾下乘凉梦”的接班人,是和培育更多优良杂交水稻新品种同等重要的事。

隆平水稻博物馆展厅内,有个一株巨型水稻雕塑。
唐文帮表示,袁隆平生前很重视人才培养。他逝世后,湖南省袁隆平农业科技奖励基金会与袁隆平慈善信托出资设立的袁隆平追梦奖学金,面向湖南农业大学等9所高校作物学及粮食安全相关专业的全日制学生,每年每校评选4人,包括2名本科生、1名硕士研究生和1名博士研究生,奖励标准分别为每人1万元、2万元和3万元。
唐文帮担任湖南杂交水稻研究中心主任后,面对科研与行政人员比例失衡、年龄结构断层等问题,梳理并重建了人才体系。
他确立“基础研究靠引进,应用人才靠培养”的原则,建立了清晰的人才工程体系,并推动成立了市场化平台“国创高科”,以解决科研人员待遇、成果转化等问题。
不仅如此,唐文帮积极推动以岳麓山实验室为纽带,推进农业领域教育科技人才体制机制一体改革工作。湖南农业大学和湖南省农科院通过共建领导机构、共聘院(所)长、联合推进党支部共建、共建学术委员会,一体推进学生共培、人才引育、科研共创、资源共享,近400名科研人员被聘为湖南农业大学兼职教师,一个“教育、科技、人才、产业”一体推进的良性循环正在形成。
“禾下乘凉梦”如今已化为一代代农业科技工作者脚踏大地的坚实足迹。梦在延续,它关乎产量,更关乎质量;关乎土地,也关乎健康;关乎技术突破,更关乎精神传承。
稻浪千重,梦有新生,后继之人,步履不停。

设计:王璐瑶





- 报料热线: 021-962866
- 报料邮箱: news@thepaper.cn
互联网新闻信息服务许可证:31120170006
增值电信业务经营许可证:沪B2-2017116
© 2014-2026 上海东方报业有限公司




