- +1
英年早肥增加46%的卒中风险,中年发福却能安然无恙?
原创 晨晨 医学界内分泌频道

2020年的这场疫情席卷了全球,在全国人民的努力下,我国的疫情初战告捷。当然,除了白衣天使的帮助外,全国人民的功劳也不小,制胜武器就一个字“宅”,尤其是年轻的我们,宅着看剧,宅着吃喝,经历了2个月的宅生活后,我们都成了一群快乐的胖子,从此踏上了英年早肥之路。
有人说:“年轻任性,胖点无所谓,可爱嘛!中年发福才可怕,各种疾病才会找过来。事实果真如此吗?”
心血管疾病领域权威杂志Stroke上发表了一篇研究[1]文章,研究人员对健康男性进行了长期随访,旨在明确青年、中年体重变化与卒中、死亡风险之间的关系。
01
较中年人群而言,青年人群更易出现体重增加
该研究从纳入了2014 名40~59岁的男性,以其25岁起至纳入该研究时的体重变化作为早期(青年时期)体重变化,以纳入该研究至第7年期间的体重变化作为中年时期体重变化。
所有人都有青年时期体重变化数据,平均接受30.1年随访;但仅1403人有中年时期体重变化数据,平均接受24.6年随访。从随访、医院记录和国家死亡原因登记处收集了长达35年的卒中和死亡数据。
在青年时期,224名参与者(11.1%)出现体重减轻,778人(38.6%)体重增加0至4.9kg,517人(25.7%)体重增加5.0~9.9kg, 495(24.6%)体重增加≥10kg。
在中年时期,552名参与者(39.3%)减肥,670人(47.8%)体重增加0~4.9kg,156(11.1%)人体重增加5.0至9.9kg,25人(1.8%)增重≥10kg。
在中年时期减肥的人,7年时期552名参与者中有461人(84%)体重减轻不到5kg。
从上述数据不难看出,青年时期大约50%的人体重至少增加5kg,11% 的人体重减轻;中年时期,只有约13%的人体重增长≥5kg,近40%的人体重减轻。
02
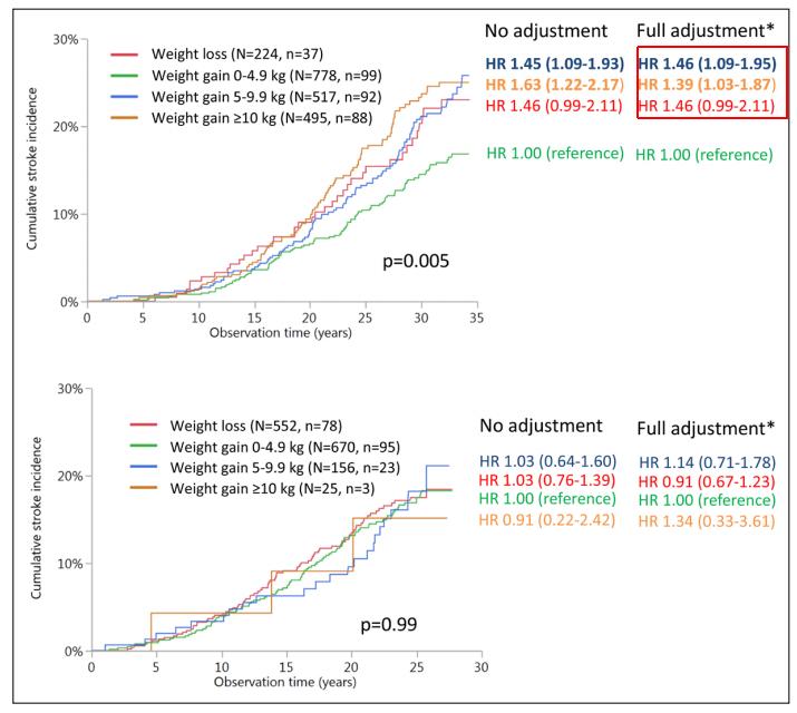
英年早肥卒中风险增加46%,中年发福安然无恙!
相比与那些体重增加0到4.9kg的参与者,青年时期体重增加5到9.9kg的参与者卒中风险增加了46% (95%CI为1.09-1.95),那些体重增加≥10kg的参与者卒中风险增加了39%(95%CI为1.03-1.87),那些体重减轻的参与者卒中风险增加了46% (95%CI为0.99-2.11)。在中年时期的体重改变,未看到卒中风险的改变。

03
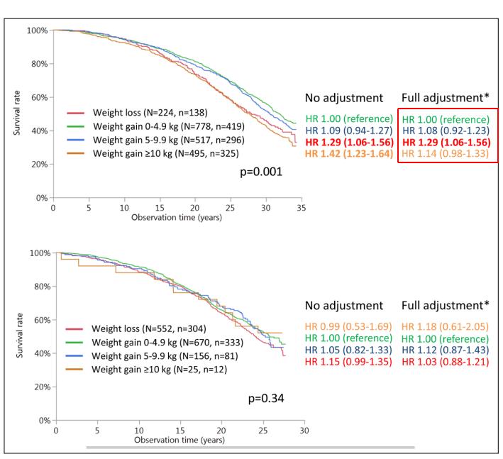
全因死亡风险英年早肥“完胜”,中年发福岿然不动!
在全因死亡风险上,英年早肥依旧不甘示弱,相比于那些体重增加0到4.9kg的参与者,青年时期体重增加5到9.9kg的参与者全因死亡风险增加了8% (95%CI为0.92-1.23),那些体重增加≥10kg的参与者全因死亡风险增加了14% (95%CI为0.98-1.33),那些体重减轻的参与者全因死亡风险增加了29% (95%CI为1.06-1.56)。在中年时期的体重改变,未看到死亡风险的改变。

如果这项研究得到了证实,那么说明中年发福看起来并不可怕,真需要为英年早肥捏把汗了,年轻时胖得可爱,老来卒中和死亡风险都增加,青年人胖得太容易,抛弃可爱,青年的我们更需要努力,保持正常的体重!
不要肥宅,动起来。。。。。。

[1]Erik Prestgaard , Julian Mariampillai, Kristian Engeseth etal.Change in Body Weight and Long-Term Risk of Stroke and Death in Healthy Men.Stroke.2020;51:00-00.DOI: 10.1161/STROKEAHA.119.027233.
本文首发:医学界内分泌频道
本文作者:邵晨
本文审核:主治医师 徐乃佳
本文编辑:罗千惠
-------
原标题:《英年早肥增加46%的卒中风险!中年发福却能安然无恙?》
本文为澎湃号作者或机构在澎湃新闻上传并发布,仅代表该作者或机构观点,不代表澎湃新闻的观点或立场,澎湃新闻仅提供信息发布平台。申请澎湃号请用电脑访问http://renzheng.thepaper.cn。





- 报料热线: 021-962866
- 报料邮箱: news@thepaper.cn
互联网新闻信息服务许可证:31120170006
增值电信业务经营许可证:沪B2-2017116
© 2014-2026 上海东方报业有限公司




