- +1
郭尚平院士: 天然气水合物开发多物理场特征及耦合渗流 研究进展与建议
以下文章来源于力学学报 ,作者李淑霞 等

提供与《力学学报》期刊相关的服务信息
作者:李淑霞,郭尚平,陈月明,张宁涛,武迪迪
本文共有 14873 字
大约需要15min阅读
摘要:天然气水合物作为一种非常规的清洁能源, 在全球分布广、资源量大. 自20 世纪90 年代以来, 加拿大、美国、日本、中国已经先后进行了陆域及海域的水合物试采, 但发现出砂、单井日产气量低、稳产时间短等问题,试采产量远不能满足商业化开发的需求, 其中核心问题是对水合物开发过程中的相变、多相多组分多场耦合渗流特征的认识不够明晰. 本文根据天然气水合物开发过程中涉及的渗流场、温度场、化学场、力学场等多场耦合特征, 重点综述水合物生成/分解对各物理场主要特征参数的影响, 包括水合物储层的孔隙度、水合物饱和度、渗透率、相对渗透率等基础物性参数及其动态演变, 天然气水合物的导热系数、比热容、热扩散系数以及水合物生成/分解热等热力学参数, 天然气水合物生成、分解动力学特征, 纯水合物以及含水合物沉积物的力学性质等,最后阐述了天然气水合物开发渗流中的多场耦合关系及相互作用, 提出了今后水合物开发多物理场特征及耦合渗流的科学研究、技术开发的有关建议.
关键词:天然气水合物, 开发, 渗流, 多场耦合
引 言
天然气水合物(natural gas hydrate, NGH) 是天然气和水在低温高压条件下形成的类冰状的结晶物质,俗称可燃冰, 是一种非常规的、清洁的天然气资源,其分布面广、资源量大[1-2]. 标准状况下, 1
天然气水合物分解产出164
天然气和0.8
水[3]. 自20 世纪60 年代以来, 世界各国投入巨资竞相开展天然气水合物的勘探、试采和研究. 迄今为止, 全球唯一商业开发的水合物藏为俄罗斯的麦索雅哈[4-6], 其余进行过水合物试采的有加拿大Mallik [7-8]、美国Alaska [9]、日本南开海槽[10]、中国神狐海域[11-12],但均存在单井日产气量低、稳产时间短等问题. 据2020 年3 月26 日中央电视台最新报道, 中国在水深1225 m 的南海神狐海域进行第二次水合物试采, 创造了“产气总量、日均产气量” 两项新的世界纪录,实现了从“探索性试采” 向“试验性试采” 的重大突破.
天然气水合物藏开发的渗流规律和开发动态与常规油气藏有很大区别. 在储层原始压力和温度条件下, 天然气水合物呈固相存在; 当压力低于相平衡压力或温度高于相平衡温度时, 固相水合物吸热分解为水相和气相, 储层中各相的饱和度、有效孔隙度、渗透率等均随水合物分解而发生动态变化; 另外水合物分解后储层稳定性降低. 因此, 天然气水合物的开发渗流是一个伴随相变的多相多组分多场耦合的渗流过程. 此外, 当用加热法、降压法、化学法及综合法等进行开发时, 还会出现一些非常复杂的物理化学过程. 可见, 天然气水合物藏开发的渗流问题是伴有极其复杂的物理化学过程的多场耦合渗流问题, 为了有效地开发天然气水合物藏, 必须及早地开展与此有关的科学研究和技术开发, 打好科学基础,做好技术储备[13].
天然气水合物的渗流理论及相应技术是水合物藏勘探开发必需的重要基础. 目前天然气水合物勘探开发所涉及的渗流领域的科学研究和技术开发尚处于起步阶段, 亟需加强与水合物成藏和开发有关的渗流理论、方法、技术的研发及应用. 本文根据天然气水合物开发过程中涉及的渗流场、温度场、化学场、力学场等多场耦合特征, 以天然气水合物开发渗流研究为中心, 对天然气水合物开发的多物理场特征进行综述, 包括与渗流场相关的水合物储层孔隙度、水合物饱和度、渗透率、相对渗透率等基础物性参数及其动态演变; 与温度场相关的水合物导热系数、比热容、热扩散系数以及水合物生成/分解热等热力学参数; 与化学场相关的水合物生成、分解动力学特征; 与力学场相关的纯水合物以及含水合物沉积物的力学性质等, 并阐述了水合物开发的多场耦合渗流特征, 最后对今后的相关科学研究、技术开发提出一些建议.
1 天然气水合物开发的
多物理场特征
1.1
天然气水合物储层的基础物性参数
天然气水合物储层的孔隙度、渗透率、水合物饱和度等基础物性参数是反应水合物储层储集性能和渗流能力的关键参数, 对水合物储层开发具有重要意义.
1.1.1 天然气水合物储层的孔隙度和饱和度
目前有关含天然气水合物储层岩石的孔隙度和饱和度的定义有两种[13], 一类是将水合物和冰都当作岩石孔隙体积的一部分; 一类是将水合物和冰都作为固相, 当作岩石骨架的组成部分. 目前大部分学者采用的是第一种定义, 即认为含水合物的岩石孔隙空间中, 可能存在的物质包括: 水合物、冰、甲烷气、水, 孔隙中各相物质的饱和度之和为1,
按此定义, 若不考虑水合物储层变形及地层的压实效应, 则水合物储层的绝对孔隙度不变; 但由于水合物、冰的生成及分解, 水合物储层的有效孔隙度是随着水合物饱和度及冰的饱和度而不断变化的,其变化关系为
1.1.2 天然气水合物在储层孔隙中的微观分布特征
水合物的不同微观赋存状态对水合物储层的渗流、传热及力学特性均具有较大影响, 因此, 准确识别天然气水合物储层孔隙中水合物、气、水的分布及动态变化尤为重要. 早期的传统方法是通过温度/压力变化来推断水合物的生成和分解, 方法简单但精度不够[14]. 业渝光等[15] 通过光通过率的变化来识别, 但要求反应物和反应釜必须是透光的. 文献[16-18] 应用超声检测技术, 文献[19-23] 用电阻法来分析水合物的生成和分解特性. 上述研究方法均为非可视化的方法, 无法直接观测到水合物在反应釜内的分布和变化情况, 还有很多规律不能准确判断.近年来, 随着各种可视化技术的发展, 文献[24-32] 采用核磁共振、磁共振成像(MRI) 测试技术, 为研究多孔介质中水合物的原位形成和分解、水合物的微观分布、储层孔隙结构变化等提供了技术保障.胡高伟等[25] 实验得到不同天然气水合物饱和度时水合物在沉积物中的微观分布变化见图1. 文献[33-36]研究发现水合物在多孔介质中的微观赋存状态复杂多样, 而Mahabadi 等[37] 认为这些微观赋存状态对多孔介质的孔隙结构、渗透性的影响大于水合物饱和度的影响. 总体看来, 通过应用CT 和MRI 测试手段来监测水合物生成、分解过程中的微观分布及变化规律, 深入研究水合物藏孔隙度、饱和度及渗透率等基础物性参数的动态演变规律, 能够为水合物的开发研究奠定理论基础.

甲烷水合物; 灰色为NaCl 溶液; 浅灰色为石英砂; 黑色为甲烷气
1.1.3 天然气水合物储层的渗透率和相对渗透率
水合物储层渗流特征复杂, 受到水合物相变、气液流动、水合物分解吸热、地层变形等各种影响. 其中水合物储层渗透率的大小直接决定了开发过程中质量和热量传递, 是评估水合物储层产气效率的重要参数. 储层渗透率与水合物的赋存状态及饱和度、储层颗粒尺寸、孔隙度、气水含量、地层有效应力、水合物二次生成等都关系密切[33-37]. 鉴于现场原位测试技术与实验成本的限制, 含水合物储层渗透率的研究仍以室内实验为主, 测试对象包括保压取芯样品和人工制备样品. 目前关于水合物储层渗透性的研究包括不同水合物饱和度下的绝对渗透率和气、水相对渗透率.
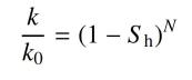
有关不同水合物饱和度下含水合物储层渗透率的研究, Masuda 等[38] 最先通过实验建立了水合物饱和度与多孔介质渗透率之间的关系模型

Masuda 模型后来被大量学者广泛引用并改进,但不同的水合物储层具有不同的N 值, 需要通过渗流试验数据拟合获得. Minagawa 等[39] 用指数关系拟合了不同水合物饱和度下的渗透率数据, 得到下降指数N 从2.5 到9.8 不等; Liang 等[40] 认为N 值在2 ∼ 15 之间变化.
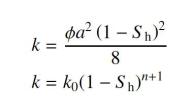
Kleinberg 等[41] 认为水合物的微观分布对渗透率有较大影响. 当水合物分布于储层骨架颗粒表面时, 计算渗透率的平行毛细管模型和Kozeny 模型分别为

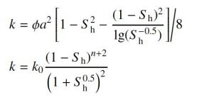
当水合物分布于地层孔隙中心时, 平行毛细管模型和Kozeny 模型分别为

水合物分解后产生气体和水, 储层内将产生气−水同时流动, 而且气、水的流动空间随着水合物的分解不断改变, 因此对不同水合物饱和度下气−水两相相对渗透率的研究是非常重要的. 研究方法包括实验研究和理论分析. 在实验方面, Johnson 等[44] 认为使用水合物的组成成分(即甲烷和水) 来进行相对渗透率的测量是不理想的, 因为在驱替过程中很难避免额外的水合物生成. 吕勤[45] 实验发现采用氮气进行驱替会引起水合物分解, 而使用甲烷只有在系统压力调整至接近相平衡压力时, 才可顺利实现驱替. 目前对含水合物的多孔介质, 实验测定气相和水相的相对渗透率还没有有效的方法, 对此公开发表的实验测量数据也较少. 该研究的难点在于气水两相同时流动时, 可能发生水合物的生成或分解, 实验难度较大. 在理论分析方面, Moridis 等[46] 提出了考虑水合物存在时计算相对渗透率的OPM (original porousmedium) 和EPM (evolving porous medium) 模型, Mahabadi等[47] 和Gamwo 等[48] 通过改进的Stone 方程来计算水相和气相相对渗透率, 但均忽略了水合物分解过程中水合物饱和度、赋存状态、孔隙结构的变化等对气水相对渗透率的影响, 不能准确反映水合物储层的多相渗流特征. 蔡建超等[49] 对含水合物沉积物的渗透率及多相渗流时的相对渗透率进行了系统的分析和对比. 文献[50-53] 将孔隙网络模型与X-CT相结合, 通过CT 观察得到三维甲烷水合物图像, 然后从处理后的三维图像中提取代表孔隙和喉道拓扑结构的孔隙网络模型, 从而计算孔隙结构分布特征、水合物饱和度、毛管压力和相对渗透率等. 上述研究初步探索了与CT 相结合的孔隙网络模型在水合物研究领域的应用, 为水合物微观渗流规律的研究扩展了方向.
1.1.4 天然气水合物储层的毛管压力
毛管压力是孔隙介质(润湿性、几何形状) 和孔隙中所含各相(如气体、水合物、水) 饱和度的函数.水合物的存在改变了孔隙空间的几何形状, 改变了无水合物条件下的毛管压力−饱和度关系, 而毛管压力又对气−水分布、渗流规律有较大影响. 早期通过对Van Genuchten 模型的修正得到反映水合物储层气水两相渗流的相对渗透率和毛管压力模型[54]. Ghezzehei等[55] 利用含水水合物砂样进行实验, 建立了考虑水合物饱和度影响的毛管压力和相对渗透率经验关系模型. Mahabadi 等[56] 借助CT 扫描技术和孔隙网络模型法, 获得了毛管压力曲线的相关参数, 研究了水合物含量、分布等因素对毛管压力曲线的影响. 总体看来, 目前天然气水合物储层毛管压力的研究难度大, 相关研究尚处于初期阶段.
综上, 天然气水合物储层的基础物性参数是水合物开发研究的基础, 但目前的研究实验数据积累明显不足, 实验及分析方法还没有统一的标准, 总体研究还处于初期探索阶段, 制约了后期水合物藏开发模式的研究.
1.2
天然气水合物的热物理性质
天然气水合物的分解是一个吸热过程, 同时, 储层的温度变化会打破天然气水合物的相平衡条件, 使水合物生成或分解, 导致储层的孔隙体积和渗流能力也随之相应变化. 因此, 在天然气水合物开发渗流过程中, 研究天然气水合物的热物理性质是十分必要的. 目前对天然气水合物的热物理性质研究主要包括两个方面, 一是天然气水合物的热物性参数, 主要包括导热系数、比热容、热扩散系数等; 二是天然气水合物生成和分解过程中的热量变化. 其中对热物性参数的认识包括纯水合物的热物性参数和含水合物储层的热物性参数.
1.2.1 纯水合物的热物性参数
导热系数λ 是反映物质导热能力大小的重要参数, 国内外学者对不同水合物的导热系数进行了大量的实验研究和对比. Stoll 等[57] 测量丙烷水合物在275 K 时导热系数为0.39 W/(m·K); Ross 等[58]测量发现四氢呋喃水合物在100 MPa, 100∼260 K 时导热系数为0.47∼0.53 W/(m·K), 随温度升高而增大;Cook 等[59] 实验发现60℃ 时甲烷水合物的导热系数在0.45 W/(m·K) 左右. Waite 等[60] 测定温度为253∼288 K 时甲烷水合物的导热系数为0.62W/(m·K)左右, 与水的导热系数相差不到10%. 李栋梁等[61]实验发现水合物的导热系数与水合物的结构类型及客体分子有关, 大体顺序为I 型>II 型>H 型> 半笼型.
比热容C 指单位质量的物质升高或下降单位温度所吸收或放出的热量. 实验测定水合物比热容主要存在两个问题: 一是需要绝对纯净的水合物样品,样品中残余的水或者冰都会影响测量结果; 二是天然气水合物的蒸汽压会随温度升高而增大, 部分水合物会随着样品温度的升高而分解, 水合物分解所需的热量将使水合物的表观比热容大大高于实际比热容. Handa [62] 首次测量了甲烷、乙烷、丙烷水合物在85∼270 K 时的比热容, 得到单一成分水合物的比热容与温度呈正相关, 不同气体水合物比热容不同, 大体顺序为丙烷> 乙烷> 甲烷, 同时提出了适用于甲烷、乙烷和丙烷水合物的摩尔比热与绝对温度的拟合经验公式. Rueff 等[63] 实验测得在温度为245∼259 K 时甲烷水合物的比热容为1.6 kJ/(kg·K)左右. Waite 等[60] 测定得到I 型甲烷水合物在253∼288 K 时的比热容为2.02 ∼ 2.28 kJ/(kg·K).热扩散系数α 是表征物体热量扩散能力的物性参数. Kumar 等[64] 通过实验得到温度为265 ∼281 K 时, 甲烷水合物的热扩散系数为(3.1∼3.3) x
㎡/s. Waite 等[60] 得到甲烷水合物在278 K时的热扩散率为3.1 x
㎡/s, 同时给出了甲烷水合物的热扩散系数关于温度和压力的经验方程式. Zhao 等[65] 测得甲烷水合物热扩散系数和文献[60, 64] 测得数据吻合, 大约是水的2 倍, 同时得到气相压力对导热系数和热扩散系数的影响很小.
水/天然气水合物/冰的具体热力学性质对比如表1 所示[13,60].
表1 水/天然气水合物/冰的热力学性质对比表[13,60]

1.2.2 含水合物储层的热物性参数
含天然气水合物储层的导热系数、比热、热扩散系数等是影响水合物储层开发过程中的热量变化及传播的关键参数, 受诸多因素影响, 如地质构造、岩石骨架矿物成分、孔隙大小、流体成分和含量、天然气水合物饱和度、储层中天然气水合物分布模式等. 因此, 准确测量和计算含天然气水合物储层的导热系数、比热、热扩散系数非常困难. 万丽华等[66] 实验得到温度为−8.11∼9.28℃时, 干砂岩导热系数为0.828∼1.271 W/(m.K), 含甲烷水合物储层砂岩导热系数为3.850∼4.555 W/(m.K);温度为−9.41∼9.41℃ 时, 干砂岩热扩散系数为(1.198∼1.674) x
㎡/s, 含甲烷水合物储层砂岩热扩散系数为(1.403∼1.769) x
㎡/s, 但文献中没有给出水合物饱和度及砂岩含量等相关信息. Cortes等[67] 和Wang 等[68] 实验发现含水合物沉积物的有效导热系数与水合物饱和度、水含量和多孔介质的导热系数正相关. 刘笛[69] 研究发现比热容较高的沉积物样品, 由于岩心中的初始显热增大, 降压开发时产气率会明显提高. Kumar 等[64] 通过实验得到甲烷水合物与沉积物/砂的混合物的热扩散系数与水合物饱和度有关, 同时与温度成正比. Muraoka 等[70] 得到含甲烷水合物沉积物样品的热扩散系数随孔隙度增大而降低, 随水合物饱和度的增大而增大.
总的来说, 由于含水合物储层热物性参数影响因素多, 测试及分析难度大, 目前只有少量的实验数据和初步的定性认识, 亟需开展系统的实验和相关理论分析, 特别是针对实际水合物储层的热物性研究.
1.2.3 天然气水合物的生成热和分解热
天然气水合物的生成热和分解热是指在一定温度和压力下1 mol 水合物全部生成或分解时所释放或吸收的热. 水合物的生成过程是水分子先以氢键结合成笼形结构, 天然气分子再进入笼形结构的吸附过程, 定温定压下, 水合物生成过程是放热反应.水合物的分解过程为吸热反应, 吸热量大小关系到如何开发和利用水合物. 水合物分解热的研究方法主要有以差示扫描量热仪为代表的直接测量法和基于相平衡数据利用Clausius-Clapeyron 方程求解的间接计算法. Handa [62] 使用量热计测量了甲烷、乙烷、丙烷、异丁烷四种水合物在85∼270 K 时的分解热,如表2 所示, 不同组分水合物分解热不同, 其中甲烷水合物分解热最小. Rueff 等[63] 测量得到冰点以上甲烷水合物的分解热为53.28 kJ/mol, 实验温度虽然和Handa 的测量温度范围差别很大, 但甲烷水合物分解热测量结果相近, 说明温度对水合物的分解热影响较小. 陈强[71] 测量了不同压力下甲烷水合物的分解热, 结果表明压力对水合物分解热的影响不大.孙志高等[72] 根据水合物相平衡数据, 运用Clausius-Clapeyron 方程计算得到温度为285 K 时甲烷水合物的分解热为56.22 kJ/mol, 与Rueff 的测量结果基本一致. 董福海等[73] 采用混合量热法测量得到常压下四氢呋喃水合物的分解热为275.62 kJ/kg. 陈花等[74] 通过引入Setzmann 方程, 提高了Clausius-Clapeyron 方程计算甲烷水合物分解热的计算精度, 同时实验发现加入水合物促进剂十二烷基硫酸钠(SDS) 对甲烷水合物分解热的影响不大, 可节省水合物合成时间.
表2 Handa 对于天然气水合物分解热测定结果[62]

1.3
天然气水合物的动力学性质
水合物的分子结构、相平衡、热力学性质等与时间无关, 研究相对成熟; 而水合物的生成和分解是随时间而变化的, 20 世纪80 年代中期才开始相关研究,且由于水合物生成、分解机制的复杂性, 目前尽管提出了很多水合物生成及分解的动力学模型, 但对相关微观机制及宏观动力学行为仍未完全了解, 尚未形成可靠的模型, 亟需在多个尺度上阐明水合物生成和分解动力学的机理.
水合物的动力学性质包括生成动力学和分解动力学, 分为微观动力学和宏观动力学研究. 其中微观动力学研究水合物主客体分子的相互作用(分子的结构、运动)、结晶过程(如成核、生长、凝聚) 和膜生长(如液膜层内外扩散、气−液界面吸附) 等方面;而宏观动力学主要通过宏观实验研究有关水合物生成和分解的因素(如过冷度、压力、温度、组成、水的状态和水合物形成物质的状态等) 对水合物气体消耗(释放) 率、气−水界面驱动力的影响, 对水合物生成和分解速率进行数学描述和预测.
1.3.1 水合物生成动力学
天然气水合物的生成与结晶过程相似, 可以通过水合物成核和水合物生长两个步骤来描述. 其中水合物成核是指形成超临界尺寸的稳定水合物晶核的过程, 该过程具有随机性, 研究难度大; 而晶核形成后的晶体生长过程在目前水合物生成动力学的研究中报道相对较多. 自20 世纪80 年代以来, 已经发表的水合物生成动力学模型达数十个[75], 这些模型分别考虑传质、传热或内在动力学反应等不同的控制机理, 选用不同的气体, 通过在不同结构的反应器(包括搅拌槽、填充床、流动反应器等) 中进行实验而得到, 但值得注意的是, 目前还没有一个统一的模型能够解释所有观察到的水合物生长动力学行为.
其中最经典的模型是1987 年Englezos [76] 模型, 该模型基于水合物颗粒的结晶生长理论, 结合描述气液界面传质的双膜理论, 提出了用于CH4 和C2H6 水合物生成的本征动力学模型, 模型中只有分解速率常数一个可调参数, 如式(8) 所示. Ribeiro 等[77] 认为Englezos 模型是迄今为止引用及改进最多的水合物生长动力学模型, 但其不足之处在于假设成核是均匀的, 而目前已有大量的实验数据证明成核是不均匀的[78-79], 主要发生在气液界面, 同时该模型是通过气体消耗速率来间接表达水合物的生成速率.

为总速率常数, mol/(㎡·MPa·s).
多孔介质内的水合物生成动力学研究则更为复杂, 水合物生成动力学速率在很大程度上取决于详细的实验程序、冷却位置和速度、多孔介质的热物理性质和孔隙分布、气体类型与组成、水的盐度等. 目前不同学者在研究中采用的多孔介质类型不同(如砂粒[80]、硅胶[81]、玻璃珠[82] 等), 不同介质中的流体流动及质量传递速率不同; 采用的水合物生成方法各不相同(如过量水法[83]、过量气法[84] 等); 另外不同学者采用的反应器结构形状不同、研究方法不同等, 使得多孔介质中水合物生成动力学的研究结果不同. 建议后期对水合物生成动力学的研究中注意:①生成天然气水合物的实验条件、方法和材料的规范化; ②天然气水合物生长速率定量表征方法的科学化; ③进一步深入研究水合物生长动力学模型的控制机理.
1.3.2 水合物分解动力学
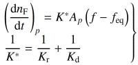
自20 世纪80 年代以来, 水合物分解动力学研究在国内外获得普遍重视. 微观水合物分解动力学主要研究水合物分解反应的机理和分解速率等问题,而宏观动力学则侧重研究各种因素如温度、压力、水合物颗粒比表面积、分解推动力等对水合物分解速率的影响. Kim 等[85] 最早提出了包含两个阶段的气体水合物分解微观机理过程: ①水合物颗粒表面的晶格破碎; ②客体分子气体由表面脱附. 该水合物分解过程研究中忽略了传热传质的影响, 并进一步假设水合物分解速率与水合物颗粒比表面积和推动力(三相平衡逸度和气相主体甲烷逸度之差) 成正比的前提下, 提出著名的Kim-Bishnoi 分解动力学方程, 见式(9). 方程中最重要的参数就是水合物本征分解速率常数, 它表征的是一种物质转化为其他物质的速率参数. 该模型为水合物分解的内在动力学模型, 没有考虑传热和传质的影响.

Jamaluddin 等[86] 在Kim-Bishnoi 模型的基础上,通过引入传质和传热速率方程, 提出了一个同时考虑传质、传热和本征动力学的水合物分解动力学模型. Goel 等[87] 认为影响反应速率的主要因素为水合物的表面积和压差, 将水合物的分解速率与驱动力的n 次方相关联, 建立了新的水合物分解的动力学模型. 孙长宇等[88] 提出水合物的分解过程包括水合物分解界面主体笼形的坍塌与客体分子由水合物分解界面解吸脱离的两个阶段, 水合物的分解速率与剩余未分解的水合物量成正比, 在Kim 的分解动力学模型基础上建立了新的水合物分解速率方程. Clarke等[89-90] 对Kim-Bishnoi 动力学模型进一步扩展, 研究了甲烷、乙烷的混合物以及CO2 水合物的分解速率.Giraldo 等[91] 通过引入参考组分, 提出了一种模拟混合气体水合物分解动力学的简化方法.
天然气水合物在沉积物中的分解过程受到温度、压力、沉积物中盐浓度、沉积物粒径、水合物饱和度等因素的影响[92]. Chong 等[84] 发现沉积物粒径大小对甲烷水合物分解速率有较大影响. 任韶然等[93] 认为压差是影响水合物分解速率的主要因素.Kono 等[94] 进行了降压法甲烷水合物的分解速率测试实验, 发现不同的沉积物及沉积物颗粒尺寸将得到不同的分解速率常数值. 冯自平等[95] 进行了多孔介质中天然气水合物降压分解模拟, 得到水合物分解速率受流动特性控制, 且多孔介质内水合物分解本征速度常数比Kim[85] 测定的纯水中水合物分解本征速度常数低3 个数量级. Nihous 等[96] 指出Kim 的分解动力学公式对于深海沉积物中的水合物本征分解速率有一定的局限性. 张雯翔[97] 通过在多孔介质中甲烷−丙烷水合物的分解实验研究发现, 盐溶液和砂质降低了表观分解反应活化能, 有利于水合物分解.
目前, Kim-Bishnoi 方程仍然是被最广泛应用的水合物分解动力学模型, 不少其他模型也是基于该方程而改进的. 广泛采用这一模型的主要原因是它将水合物反应速率与温度、压力、动力学常数以及比表面积等关系很好地体现了出来. 但Kim-Bishnoi方程是关于纯水合物的分解动力学方程, 对于含水合物储层, 目前有学者对Kim 方程中分解比表面积进行修正[98-99], 但水合物分解产气不仅涉及水合物相变本身的动力学过程, 还与储层中压力传播、多相流体渗流等过程密切相关, 应该耦合所有主要的分解机制, 包括传热和传质, 气体和水的流动行为, 纯水合物体系中的内在分解动力学以及多孔介质中水合物的有效分解速率. 目前对多孔介质中水合物的分解动力学还没有形成统一认识. 另外, 还需要从微观层面对水合物的分解行为进行彻底解释, 同时将微观模型预测与宏观层面建模联系起来.
1.4
天然气水合物储层的力学性质
天然气水合物勘探开发过程中, 水合物的分解会导致储层力学性质变化, 地层出砂及亏空, 引起地层沉降甚至海底滑坡等灾害; 同时地层的沉降会影响储层孔隙性质和渗透性, 从而影响水合物的开发效率.
有关纯水合物的力学特性方面, Durham 等[100]通过对人工合成的纯甲烷水合物的实验, 发现在相同条件下纯甲烷水合物的强度远远大与冰. Nabeshima等[101] 通过三轴实验, 得到纯水合物的强度随着温度降低、压力增大、密度增大而增大. Dvorkin 等[102]测定了纯水合物和冰的力学参数, 部分性质对比如表3 所示.
表3 不同结构水合物与冰的力学性质对比[102]

很多因素都影响含天然气水合物沉积物的力学性质, 其中水合物饱和度起主要作用, 随着水合物饱和度的增大, 声波速度、抗剪切强度、峰值强度、黏土黏聚力、弹性模量和内摩擦角等在一定程度上都在增加, 但水合物饱和度对力学性质的影响存在一个临界值, 高于此值, 沉积物力学性质变化会发生明显响应. Yun 等[109] 得到含四氢呋喃水合物沉积物力学性质的临界水合物饱和度为40%; Sloan[2]、石要红等[110] 认为当水合物饱和度超过25% 时沉积物力学性质才会发生明显改变; Waite 等[111] 通过对粗颗粒含水合物沉积物排水剪切强度实验发现该值为30%.可见水合物临界饱和度值并不固定, 该值与水合物合成方法、水合物类型及水合物分布模式有很大关系.
建立能有效描述含水合物沉积介质力学特性的力学模型, 是研究含水合物地层井壁稳定性和储层稳定性的前提. Klar 等[112] 和Uchida 等[113] 初步建立了含水合物沉积介质的弹塑性力学模型, 其中Duncan-Chang 模型参数物理意义明确且相对准确, 得到了广泛应用. Miyazaki 等[114] 将水合物饱和度和有效围压引入经典的Duncan-Chang 模型, 建立了适用于含天然气水合物的非线性弹性模型. 张峰等[115] 以经典Duncan-Chang 模型为基础, 提出了适合含水合物细砂质沉积介质的非线性弹性力学模型. 刘林等[116]基于黏土和砂土统一的本构模型, 建立了一个含水合物沉积物的弹塑性本构模型, 模型中尝试考虑水合物含量和赋存形式对应力应变的影响. 但由于水合物在沉积物中的赋存条件和分布模式的复杂性, 导致含水合物沉积物力学性质与水合物饱和度、骨架颗粒尺寸、温度、压力等函数关系并不是很明确, 现有的一些定量关系都带有很强的约束条件, 在实际工程应用以及数值模拟计算中都受到很大限制.
总的来说, 含水合物沉积物的力学性质取决于水合物在沉积物中的分布模式、水合物饱和度、沉积物骨架颗粒尺寸、孔隙压力、胶结特性、沉积层矿物成分等因素. 目前研究大多是对力学参数及影响因素的定性分析, 亟需建立包含上述多影响因素的、有明确物理意义的定量函数关系. 建议今后在以下几个方面多做工作: ①规范含水合物沉积物的有关模拟实验方法和相应的流程; ②加强含水合物沉积物微观孔隙结构以及水合物分布模式研究, 将力学测试系统与孔隙尺度甚至微观尺度观测(如核磁共振,CT 等) 系统整合起来, 实现微观分析与宏观测试一体化, 将力学性质与孔隙中水合物的分布模式相关联. ③加强动载荷作用等复杂条件下含水合物沉积物力学性质实验测试. ④加强原位测试技术, 获取更贴近实际水合物储层的力学参数.
2 天然气水合物开发过程中的
热流力化多场耦合渗流特征
天然气水合物在储层原始压力和温度条件下呈固相存在, 当压力低于相平衡压力或温度高于相平衡温度时, 天然气水合物由固相逐渐分解为水相和气相. 目前提出的水合物的开发方法包括降压法、加热法、注化学试剂法和CO2 置换法等[1-2,13], 不管采用哪种方式, 水合物开发都涉及传热(热T)、多相渗流(流H)、地层变形(力M) 和水合物分解相变(化C)4 个相互耦合的物理过程[117], 伴随相变的多相多组分多场耦合的渗流特性成为水合物开发研究中一个重要难题. 传热过程是指温差引起能量转移的过程, 水合物开发时引起温差的因素主要包括高温液体注入和水合物分解吸热; 多相渗流过程是指气相、液相和固相(水合物和骨架细小颗粒) 在多孔介质中的渗流过程, 伴随着水合物分解相变引起气相、液相的增加以及有效孔隙度、渗透率等地层参数的改变;地层变形过程是指水合物分解导致泥质细粉砂储层胶结能力降低、储层变形, 同时多相渗流、水合物分解引起的孔隙压力变化和上覆总压力变化均会引起有效应力发生改变, 地层有效应力和强度改变也引起储层变形; 水合物分解相变贯穿水合物开发始终,储层内气、液、固三相变化复杂, 甚至出现水合物二次生成的现象, 导致储层的孔隙结构、孔隙度、渗透率、饱和度、渗流通道等发生改变, 影响生产正常进行.
水合物藏开发渗流过程中的质量守恒和能量守恒, 是水合物藏开发动态分析及产气量预测的依据,因此水合物藏的渗流特征是水合物开发研究的核心和关键. 而水合物的渗流又受相变、传热、储层稳定性等多因素影响[118-119], 是一个复杂的多场耦合渗流. 天然气水合物开发过程中热、流、力、化多场耦合的相互作用关系如图2 所示. 在此以水合物生成/分解的化学反应场为中心来进行分析, 当水合物分解后, 孔隙中的物质成分和物质相态立即发生变化, 由固相水合物分解成液态水和自由气, 影响渗流场的孔隙度、渗透率及流体流动; 而渗流场的压力变化, 反过来又影响化学场的水合物生成/分解速度. 化学场的水合物生成/分解为放热/吸热反应, 影响温度场; 而温度场的温度变化, 反过来又影响化学场的水合物生成/分解速度. 化学场的水合物生成/分解, 使得水合物对地层的胶结及支撑作用增大/减小, 水合物分解后有可能发生砂粒运移甚至地层变形, 影响储层力学性质; 而储层力学性质的改变, 反过来又通过储层有效应力的改变而影响化学场的水合物生成/分解速度. 同时, 渗流场的流体对流、气体流动的节流效应会影响温度场, 而温度场的变化反过来又会使储层岩石和流体的流动及传热参数发生变化, 另外,温度的降低甚至会导致水合物二次生成或冰的生成,使得孔隙堵塞, 极大地影响储层渗流能力; 渗流场的流体流动引起储层有效应力不断变化, 影响力学场的储层力学参数, 而力学场的变化又导致渗流场的压力、孔隙度、渗透率等发生变化; 温度场的变化使得力学场的参数因热应力而变化, 而力学场的参数改变反过来又通过热对流及传热性能的改变而影响温度场. 由此可见, 水合物开发是一个极为复杂的多场耦合相互作用的过程.
总之, 天然气水合物的开发是一个多相多组分多物理场相互作用的复杂的相变及渗流过程, 开发及渗流机理异常复杂, 需要从分子尺度、孔隙尺度、岩心尺度及矿场尺度等对水合物分解及渗流机理进行大量深入而细致的研究.
3 思考与建议
天然气水合物的勘探开发和科技工作都处于初始时期, 其涉及的渗流领域的科学研究和技术开发亦处于起步阶段. 主要的思考和建议如下:
(1) 建议深入研究含水合物沉积物的孔隙度、渗透率、水合物饱和度等基础物性参数及其动态演化规律, 加强各种微观可视化定量研究, 厘清水合物微观分布对上述物性参数动态变化的影响; 亟需建立不同水合物饱和度下绝对渗透率、气水两相相对渗透率以及毛管压力等参数的统一的测试方法和标准.

(2) 更深入全面研究天然气水合物热物性. 热物性是天然气水合物科学研究的基础, 是开发和利用水合物的依据. 现有研究多局限于单组分气体水合物, 而自然界存在的是多组分气体的天然气水合物;前期研究多局限于非多孔介质的高压容器, 对多孔介质中的水合物热物性研究较少. 因此, 研究多孔介质中的各种多组分天然气水合物的热物性极为必要.与此相应, 急需研发更先进的实验设备和测试技术.根据采集的水合物实样的气体分析预测水合物的热物性, 可为水合物藏经济开发提供重要科学依据和技术支持.
(3) 加强沉积物多孔介质中天然气水合物的生成动力学、分解动力学研究. 水合物的生成、分解动力学是天然气水合物成藏和开发研究的基础, 是当前研究的热点. 沉积物多孔介质中水合物动力学研究处于初始的阶段, 许多问题有待重点研究. 例如:①关于水合物成核过程. 迄今研究假设条件较多, 需要深入研究其真实过程. 水合物成核假说等问题已经涉及分子层面, 问题难度大, 尚处于探索和假说阶段. 主要困难是对水合物结晶动力学及多相复杂体系的流体力学缺乏了解. ②实验研究中使用的沉积物大多为人工特制, 而且多集中在较细颗粒范围, 难以代表真实海洋沉积物环境. 需要加强天然海洋沉积物中和陆地永冻层中水合物动力学研究. ③当前的实验设备和测试技术难以对沉积物中水合物成核过程进行准确探测, 影响了沉积物中水合物动力学研究及理论模型的进展. 有必要进一步完善实验装置, 使用高新探测技术, 以便灵敏准确探测沉积物中水合物成核过程. ④目前国内外已有多个天然气水合物生成/分解动力学模型, 但这些模型都相对简单,对于影响水合物生成/分解的各种变量(如客体尺寸、表面面积等) 的反馈不够灵敏, 而且这些模型多非沉积物中的动力学模型. 因此, 急需研究更接近实际条件的动力学模型, 建立能较准确反映沉积物中水合物生成和分解的动力学模型.
(4) 含水合物沉积物的力学性质与水合物的分布模式、饱和度、沉积物颗粒尺寸、矿物成分、孔隙压力等密切相关.目前的研究多集中在相关力学性质的定性分析上, 相关力学参数的定量分析模型亟需建立和完善, 同时建议加强原位条件及动载荷条件下的相关力学性质测试.
(5) 注意水合物藏渗流的特有复杂性. 天然气水合物渗流是非常复杂的、极有特色的流动, 迄今还往往借用常规油气渗流的概念和方法. 必须根据其特有规律, 建立天然气水合物渗流理论、方法和技术.天然气水合物渗流有多方面的复杂性和特色, 例如:①天然气水合物藏的渗流是特殊的相变渗流, 其流体是“ 水(海水) −甲烷(及其他气体)−水合物” 的特殊的多相(气液固) 多组分复合流体; 渗流过程中随时空变换和温压变化而不断发生复杂的相变. ②水合物储层中存在多种固相(水合物、冰、泥砂细粒等)的运移、滞留和堵塞等. ③渗流中存在多种复杂效应, 包括自保护效应、再生效应、记忆效应、活度效应、尺寸效应、抑制效应、促进效应和造缝效应等.因此, 亟需根据水合物渗流的特殊性、复杂性, 建立天然气水合物的渗流理论与方法.
(6) 天然气水合物开发的数值研究方面, 应特别重视考虑天然气水合物相变、传热、渗流、各种复杂效应和地层变形等多因素耦合的数值计算模型. 关于天然气水合物储层渗流, 可尝试从流变学角度将“水−甲烷−水合物” 组成的复合流体视为一种流变流体(一般是非牛顿流体) 来进行研究.
中国力学学会
欢迎您关注、分享!
微信号:cstam1957
原标题:《郭尚平院士: 天然气水合物开发多物理场特征及耦合渗流 研究进展与建议》
本文为澎湃号作者或机构在澎湃新闻上传并发布,仅代表该作者或机构观点,不代表澎湃新闻的观点或立场,澎湃新闻仅提供信息发布平台。申请澎湃号请用电脑访问http://renzheng.thepaper.cn。





- 报料热线: 021-962866
- 报料邮箱: news@thepaper.cn
互联网新闻信息服务许可证:31120170006
增值电信业务经营许可证:沪B2-2017116
© 2014-2026 上海东方报业有限公司




