- +1
方刚:儿童文学,无须回避情欲描写
原创 方刚博士 学者方刚
关注「学者方刚」,感受知性魅力
儿童文学,无须回避情欲描写!
方刚
近日,我们这个时代最优秀的几位儿童文学作家受到指责,他们作品中的情欲描写受到批评。
在我看来,批评者没有能力区分文学作品的“情欲描写”和“色情描写”。
被批评的作家之一是曹文轩。
一位批评者写到:“事实上,曹文轩的书中,少儿不宜之处颇多。比方说,曹文轩的《青铜葵花》,里面很多段父女之间不能言说的描写,不仅是恋童的问题,有近乎变态的不伦。”
听起来好可怕。我们还是先看看批评者摘出的句子:

人家写的是“感动”,你看到的是“冲动”。
感动是一种对美、对生命、对身体的崇敬。你冲动什么?
这真是应了那句话:“心中有花见到花,心中有粪看到粪。”
父母和子女,包括异性子女,鼻尖蹭脸颊,不是最自然的亲密之举吗?父母和孩子共浴,也被性教育工作者普遍推荐。
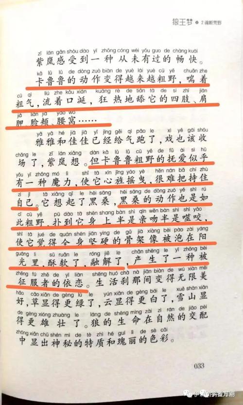
另一位被批评的儿童文学作家是沈石溪,一位批评者将矛头指向他的长篇小说《狼王梦》中对两条狼亲密时的这段描写:

转念一想:读情欲表达的过程,不也是学习的过程吗?
上面这二段的描写,我看到的只是两情相悦时的痴迷、依恋、投入、激情,这有什么不好吗?
如果让我批评这段描写,我首先想的是,“被征服者的依恋”不太好,感觉有些性别不平等。
但批评沈石溪的人是这样说的:“在这些文字中,描述了紫岚和卡鲁鲁在一起时的性活动细节和心理,使用了很多低俗的词汇和句子。”
“性活动细节和心理”?我们的性活动细节和心理就是如何简单吗?实在看不出哪句话是“细节”。
“低俗的词汇和句子”? 我们真的要这么“低俗”地理解“低俗”吗?
一条狼发情的时候,如果不是“喘着粗气、留着口涎”,莫非你要它背诵古诗词吗?那才算“高雅”?
如果我们连这样的文学描写都视为“低俗”,又如何与孩子谈性呢?

这些描写能够出版在出版物中,是因为:它们真的不低俗!
它们都是最正常,在我看来甚至是最表层的情欲描写,完全适合儿童青少年阅读。
出版署对于“淫秽色情品”有非常严格的界定,即不能够具体描写性器官,不能够描写性交过程。
批评者的上述列举,显然都不属于这些范畴。
作为普通家长,面对这样的描写有些惊慌,是可以理解的。
成都大学的胡珍教授认为:家长自身缺乏应对孩子们已经、正在、将要涉及“性描写”信息的能力,才会陷入恐慌。但性教育专业人士不应该有这种恐慌。我们应该思考的是:如何提升家长应对这种情况的能力。

不妨先思考这样几个问题:
1、 这些描写是淫秽色情描写吗?很显然不是。在我看来,这是非常唯美的文学描写。我怀疑批评者是主张给大卫雕像穿裤衩的那批人。
2、 这些描写是致力于撩拨读者的情欲,还是致力于展现主人公的情感?仔细读读作品,明显是后者。也就是说,儿童青少年从中看到的是主人公之间的爱;批评者看到的则只是性。
3、 在今天的儿童青少年读者接触的信息媒介中,这些描写属于“最情欲”还是“比较情欲”或是“较不情欲”的? 对当今儿童青少年传看的网络文学,甚至纸质书籍,略有了解,就不难回答这个问题,这样的描写是“很不情欲”的。
4、 我们有可能让儿童青少年读者完全接触不到“情欲描写”吗?你连AV片都禁止不了,还想禁止情欲描写?你以为是上世纪七十年代呢?!

6、 儿童青少年是否可以了解情欲?我们必须清楚:情欲是人类正常的情感,没有情欲才是不正常的。儿童青少年也有情欲。了解情欲是性教育的一部分,这是他们了解人类、社会、自身的一个过程。他们看到文学作品如何表达情欲,人们如何陷入和处理情欲,就可以更好地思考自己的情欲。更何况,这些文学作品的读者对象,至少是小学中高年级学生,也就是即将进入青春期,甚至已经进入青春期的学生。
7、 即使这样的情欲描写对个别儿童青少年真的存在负面影响,是这些描写本身带来的,还是青少年缺少对情欲的理解带来的?如果是后者,我们是应该禁止这样的描写呢,还是应该帮助青少年正确地理解和处理情欲?答案不言自明。
对上面这些问题的不同回答,体现的是两条教育路线的差异:
一条是希望通过禁止、隔绝、恐吓,培养“纯洁”的孩子;
一条是希望通过知识、信息、增能、思考、赋权,培养心智成熟,能够做出对自己和他人负责任的选择的孩子。

批评者对这些情欲描写的指责,恨不能将这些文学作品(许多是深受几代青少年喜爱的文学名著)封杀,同那些批判性教育,恨不能将性教育封杀的势力,是不是很相似呢?
是的。
他们同为性的道德霸权主义,他们有一个共同的特点:我有权力界定人们如何说、如何看、如何表达才是“好”的;我不喜欢的,我认为会伤害青少年的,我便要求禁止!
讽刺的是,今天批评这些情欲描写的人,有些人自己便是,或自称是“性教育专家”。
我能够理解非性教育人士对这些情欲描写的担心。
我无法理解从事性教育的人对这些情欲描写的深恶痛绝。
2020年6月25日
原标题:《方刚:儿童文学,无须回避情欲描写!》
本文为澎湃号作者或机构在澎湃新闻上传并发布,仅代表该作者或机构观点,不代表澎湃新闻的观点或立场,澎湃新闻仅提供信息发布平台。申请澎湃号请用电脑访问http://renzheng.thepaper.cn。





- 报料热线: 021-962866
- 报料邮箱: news@thepaper.cn
互联网新闻信息服务许可证:31120170006
增值电信业务经营许可证:沪B2-2017116
© 2014-2026 上海东方报业有限公司




