- +1
关于时间存在的几个质疑


利维坦按:
我们所处的这个时代有着一种诡谲性。一方面,黑格尔放飞了密涅瓦的猫头鹰之后,现代哲学更多是兀自兜起了圈子而非如前人般有着果敢、创造性的锐气,如赵林老师所言——“继哲学的‘黄昏‘而来的就是精神的漫漫长夜了。”另一方面,百年前的物理学天空飘着两朵乌云,而经过这一百年间物理学家的努力,物理学的天空中飘满了乌云。过去的问题悬而未决,更多的问题也相继被提出。
而诡谲之处在于:尽管这两大文化领域(或者说,两个我们赖以认识世界的工具)都在某种意义上陷入了“低迷”,却也明显感觉到两者的延长线在相互靠近。关于时间存在与否的讨论,关于宇宙诞生之前是什么的迷思,都不再是单纯的物理学问题。我们期望着这两者在未来会有交点,那个交点将会是是关于宇宙诞生、世界本质、人类存在的一切问题答案。
让我们先想象一下,假设你正在与一名远古穴居人交流。你尝试告诉他,那个每天他都能在空中看到的太阳,其实是同一个太阳。而且,并不是每天都会有一个新的太阳从大山的另一端升起,那个新太阳也并不会每天都坠入大海中。
“哦是吗?但那一定是个全新的太阳,因为它是从这里升起的,又是从那里掉下去的!”
穴居人如此反驳道,他的双手向着空中伸展开,笃定地指着两个相反的方向。你却只能对着他默默摇头。就在你打算向对方解释地球是如何自转,又是如何围着太阳公转之前,你终于抛出了这样一句话:“好吧,你不妨先抱着开放的心态听听我接下来要说的话……”
关于时间,你首先要知道:它并不是真实存在的。此时此刻并没有什么与众不同之处;事实上,一个宇宙意义上的此时此刻也根本就不存在。而且过去与未来在各种意义上也都是同等的。
而我们之所以认为时光不可逆转地从过去流向未来,这不过是因为我们对这个世界知之甚少,几近无知。我们以为是真理的现象只不过存在于我们的主观感知中,那根本就不是客观现实的一部分。
过去、现在与未来之间的区别只不过是一种顽固而持久的幻觉。
——爱因斯坦
现代物理让上述言论变得极为可信,同时也不留任何反驳的余地。在本文中,让我们以一个开放的心态审视时间,并尝试一起解构时间。

牛顿的绝对时间
我们相信时间是全宇宙的普遍现象;换言之,在全宇宙范围内,时间都是以相同的速度分秒必争地流逝着。
我们也相信时间是独立的现象,它可以仅凭自身且无视其他因素而存在。
我们还相信,时间是单向流逝的;也就是说事物总是从过去迈向未来,不能反向经历时间。
由于时间的本质,事物自身绝对的、真实的且数学意义上的时间都是以相等的速度在流逝,这不取决于任何外部因素,而它的另外一个称谓是时间的跨度。
——牛顿
牛顿将其力学理论的基础建立在绝对时间的概念上。尽管牛顿力学可以被认为是有史以来人类提出过最成功的理论,然而到了20世纪,这一理论的大坝上还是出现了裂痕,从那时起时间的概念也开始丧失掉那一份绝对性。
至于上面提到的那三个我们对时间传统认知的支柱,我们将在下文中以通俗易懂、循序渐进的方式沿着这三个方面去体验时间,并最终否定时间。
时空图(Spacetime Diagrams)
时间并不是绝对的,而是相对的。但是每当我们这样说,到底什么才叫相对的?
假设爱丽丝(Alice)和鲍勃(Bob)坐在同一家咖啡馆里。这时鲍勃接到了一通电话,是他妈妈打来的,他需要回家,于是鲍勃开始沿着一条直线匀速向家的方向走去。与此同时爱丽丝仍然保持坐在原处。
为了避免复杂,我们再假设爱丽丝与鲍勃的运动方向只限于一维空间的直线中,那么通过建立一个坐标系,我们就可以用X轴表示他们的位置,并用Y轴表示时间。于是我们就得到了一张时空图,如下图所示。

这就是爱丽丝在自身参考系中观察到的鲍勃的运动情况。但反过来在鲍勃眼中,爱丽丝的运动又将是怎样一副情形呢?我们在这里不妨先回忆一些以往的经验:如果我看到你以速度v远离我,那么你也将看到我同样以速度v向反方向离去。
为了得到鲍勃的时空图,我们只需要在上图基础上,将X轴在每个时间间隔都向左侧逐渐、依次平移,同时保持Y轴不变,这也被称为错切变换(Shear Transformation)。于是在新的时空图中,我们似乎看到鲍勃的位置是不变的,反而是爱丽丝开始向反方向移动。而鲍勃和爱丽丝的运动在时空图中留下的线条,则被称为其世界线(Worldlines)。

这是一个极其简单的模型。接下来,让我们再加入一个物体。假设当时有一只猫和爱丽丝、鲍勃一起坐在咖啡馆里。就在鲍勃起身的那一刻,猫也向着鲍勃的家以更快的速度跑起来。于是,爱丽丝与鲍勃在各自参考系中看到的情形就如下图所示。

注意,上图中出现了一个重要的特征:根据观察者的不同,那只猫似乎在以不同的速度运动着,那只猫的世界线在两张时空图中看起来完全不同。由于爱丽丝坐在咖啡馆里,而鲍勃与猫正向着同一方向运动,在爱丽丝眼中,猫的运动速度会比它在鲍勃眼中的运动速度更快。
在经典力学范畴中,我们的错切变换完全适用,但是当我们考虑到那些接近光速运动的物体时,就会遇到一个麻烦。
洛伦兹变换(Lorentz Transformations)
从19世纪末期到20世纪初期,物理学家们都在试图解释一个奇怪的现象:无论你是在朝着光源运动,还是在远离光源运动,可观测到的光速都是不变的。
那么,如果那只猫是以光速运动的,又会发生什么呢?根据我们在上文中画出的经典力学时空图,爱丽丝看到的猫肯定会比鲍勃看到的猫速度更快。然而在现实中,爱丽丝和鲍勃都将观测到猫的速度是299792458米/秒,也就是光速。
为了解释这个光速不变的现象,我们就需要一个不同的变换模型,在新的变换模型中,无论我们切换到爱丽丝的参考系还是鲍勃的参考系,以光速运动的物体(那只猫)都应该维持其世界线不变。换句话说,无论是爱丽丝还是鲍勃都应该看到猫正在以光速运动着,即使爱丽丝与鲍勃之间并非是静止的。
如果读到此处的读者并未理解文意,请再读一遍,并切实地理解这些概念——对于理解下文来说,这很关键。
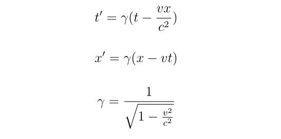
于是洛伦兹变换就直接解决了该问题,而这也是爱因斯坦狭义相对论(Special Relativity)的核心。在我们展开讲洛伦兹变换之前,请先看一看下面的这张时空图。根据狭义相对论,如果我们使用洛伦兹变换而非传统的错切变换来解释光速不变现象,那么鲍勃就将看到如下情形。


请注意以光速运动的猫的世界线,注意到它在不同时空图中的差别。在图三中,根据传统变换模型,猫的世界线是在变化的。在图五中,根据相对论的变换,猫的世界线仍保持不变。下面则是描述该变换的方程式。

如果(t, x)代表了在爱丽丝参考系中某一事件的时间与位置坐标,那么该事件在鲍勃参考系中就会变成(t', x')。在该方程式中,v是鲍勃相对于爱丽丝的运动速度,c则是光速。
好了,所以这个变换到底有什么了不起的?从此处开始我们的讨论将变得越来越有趣。在错切变换中,变换后的时间与变换前的时间是同一个时间,而变换后的位置也仅仅基于变换前的位置就可以确定。时间与空间在变换中是相互独立的。空间的运动与时间的流逝完全是无关的两个事件。
现在,再看一看洛伦兹变换的方程,你会发现空间中的运动与时间的流逝是相互影响的。时间与空间不再是独立的个体,它们不仅是相对的,更是相互决定的!
从今往后,单纯的空间与单纯的时间都注定会消散于阴影之中,唯有二者的集合体可以继续保存一个独立的客观现实。
——赫尔曼·闵可夫斯基(Hermann Minkowski)
同步性的丧失
想象一下,如果你是地球上王牌特工组织的头目,你还获知来自仙女座(Andromeda)的敌对外星人文明正在计划着近期攻打地球。而且你发明了一种神奇的平板电脑,并将2台这样的平板电脑分别交给了你手下最干练的特工,亚当和夏娃。这种平板电脑可以播放实时直播,并展示出仙女座星人军方会议中正在酝酿的任何阴谋。
根据你的线人报告,仙女座军方正要进行一次重要的会议,会上将决定是否进攻地球。你也命令亚当和夏娃到你的办公室使用该设备将敌方信息报告给你。此时此刻,你正和亚当一起坐在办公室里,亚当拿着他的平板电脑。在亚当对着屏幕操作一番之后,他报告说仙女座的军事会议刚刚开始了,而且这些外星人军官们正在争论进攻地球计划的利弊。
正当你在脑海中推敲应对方案的时候,伊娃突然推门而入。就在刚刚,当她沿着走廊向你的办公室快步走来时,她瞟了一眼自己的平板电脑,她竟然发现外星人的舰队已经向着地球出发了!

亚当、夏娃和他们的平板电脑都没有撒谎。而所谓的那个仙女座的“此时此刻”,这一时间概念对于亚当和夏娃来说确实是不同的,因为他们相对于彼此来说并非静止的。这一现象被称为仙女座悖论,由罗杰·彭罗斯(Roger Penrose)在其引人入胜的著作《皇帝的新脑》(The Emperor’s New Mind)中提出。
至此我们有必要再看一下图六中的方程式。在我们的日常生活中,速度及位移(表示为v和x)通常都很小。当v与x的数值都远远小于c,t'几乎就与t相等;因此,如果某一事件发生于你的此时此刻,那么它也发生于我的此时此刻。
然而在仙女座悖论的例子中,仙女座距离地球实在太远太远,于是我们的方程式就派上了用场。根据夏娃的描述,亚当正在经历的仙女座的此时此刻其实早在一周前就发生了。当我们随意将一些数字带入夏娃的v(也就是夏娃在走廊内奔跑的速度),你会发现你的这两名间谍看到的事件的确可以相差几天。在同一个参考系中同时发生的两个事件,在不同的参考系中也许就不会同时发生了。
所谓的“同时发生”根本就不存在,因为根本不存在一个唯一的“此时此刻”。

时间并非全宇宙的普遍现象
在此,让我们先拆掉牛顿绝对时间概念的第一根支柱,时间并非全宇宙的普遍现象。在你的此时此刻所发生的事情,也许发生于我的过去或者未来。甚至它也许既不存在于我的过去,也不存在于我的未来,而是处于我在时空中无法达到的一个区域,也就是其他地方——仅仅是“某天的事件”。
在宇宙中根本听不到同一个节奏的“滴答滴答”声响。一些你认为将在未来发生的事情也许早在我的过去就已经发生了。两位观察者眼中的两个无关事件的发生顺序并不是固定不变的;也就是说,亚当可能会说事件P发生在事件Q之前,而夏娃也许会反驳说事件P发生在事件Q之后。在这种情形下,我们熟悉的那种清晰明朗的先后关系——过去引发现在,而现在又引发未来——彻底瓦解了。
没错,事实上所谓的因果关系(Causality)在此也彻底瓦解了。
时间并非独立一切而存在
1905年对于物理学来说是非常特别的一年。爱因斯坦不仅用狭义相对论展示了空间与时间二者的关联,还指出这种关联同样存在于质量与能量之间。到了1915年,作为他在广义相对论研究的一部分,爱因斯坦进一步将时空与质能方程(Mass–energy Equivalence)的研究结合起来。
让时间变慢的不仅仅是速度,重力也会让它变慢。准确地说,质量让时间变慢,而重力则是时间正在变慢的过程。当你手中的东西掉落在地,这是因为地球是一个质量极大的物体,而且它会让自身附近的时间变慢。然而在没有重力的环境下,时间是均匀流逝的,另外物体只会漂浮不会掉落,就像我们在外太空所观察到的情况。
时间无非是对变化的量度。
——亚里士多德
在其著作《时间的秩序》(The Order of Time)中,物理学家卡洛·罗韦利(Carlo Rovelli)描述了亚里士多德与牛顿在时间本质的问题上是如何产生分歧的。如果任何事物都保持不变,时间是否还存在?亚里士多德会回答说不存在,而牛顿则认为它存在。那么在没有任何物质的绝对真空中,时间还存在吗?同样地,亚里士多德会给出否定的答案,而牛顿仍然坚持时间存在。
接着,罗韦利在书中告诉我们,对亚里士多德与牛顿观点的综合与汇总,就是爱因斯坦对物理学做出的最伟大的贡献。
爱因斯坦认为,时间与空间即使在缺乏有形物质的前提下也是存在的,但它们并非绝对的;它们同样是由构成桌子、椅子、质子、电子的物质构成的。时空是一个引力场,就像其他的场那样,它既不是绝对的,也不是统一的。它可以影响其他的场,反过来,它也同样会被其他场影响。
至此我们拆除了那第二根支柱,时间并非独立存在的。
过去与未来
我们总是相信过去与未来之间是有着本质区别的。过去已经发生过了,也许我们并不记得所有细节,但我们是知道发生过什么事的。我们也无法改变过去,那杯牛奶已经被打翻了,我们知道为此哭泣也无济于事。
相反地,未来还没有发生,所有的可能性都在向我们招手。规划自己的财务目标,陪伴自己的爱人,与我们的老板协商,或者自我反省、锻炼身体、学习知识——我们会去做这样或那样的事情来改变未来,并且把未来塑造成我们期望的模样。
然而,在描述现实世界的基本物理法则中,过去与未来并无区别。无论是牛顿的运动定律、爱因斯坦的相对论、麦克斯韦的电磁学(Electromagnetism),还是薛定谔的量子力学,所有这些理论给出的方程都是可逆的;这些物理学家对过去与未来一视同仁,仿佛无论从何种意义上讲过去与未来都是同等的。描述小球沿斜坡滚下去的方程同样也可以用来描述小球是如何沿斜坡滚上去的——而且方程本身并不关心小球到底是从上向下运动,还是从下向上运动的。那么,如果过去与未来并无区别,我们为什么只记得过去,却不记得未来呢?
熵
事实上,只有一条物理法则将过去与未来区别开,即热力学第二定律,它指出孤立系统中的总熵只能增加或保持不变,却永远不会消减。那熵又是什么呢?它和时间又有什么关系呢?
熵是对于系统无序状态的一种度量。在此不妨考虑一下一枚纯金戒指内部的金单原子分子的排列情况,相比同等质量的金块,金戒指中的单原子分子具备更规则的结构性及有序性。因此,我们称这枚金戒指的熵比那个金块的熵更低。如果某系统的组成是结构化的、特有的或特定的,我们则称该系统具备更多的有序性,也有着更低的熵。如果某系统就像洗牌之后那样是无序且随机的,我们则称该系统具备更高的熵。

在数字上,熵的数值可以通过下面的公式进行定量:

其中k代表玻尔兹曼常数(Boltzmann Constant),而W则代表在某个给定的宏观状态(macro-state)中,总共有多少可能的微观结构(Micro-configurations)。
如果一个系统的初始状态是一个低熵的状态,那么该系统的熵为什么只能继续增高就很容易理解:因为任何随机的分子运动都极有可能促使该系统向更混乱的方向发展。
如果一个茶杯掉落在地,在它摔碎的过程中其分子的离散方式存在着近乎于无限种可能。在摔碎的茶杯这一宏观状态中,可能的微观结构数量为W;在完好无缺的茶杯的宏观状态中,可能的微观结构数为W',而W的数值要远远大于W'的数值。
因此,我们总是看到茶杯摔碎时分裂成无数的碎片,同时极大提高了茶杯的熵,然而我们在生活中从未看到过那些碎片自发地重组还原成完好的茶杯。
让我们再看另一个例子,向玻璃杯中的浓缩咖啡缓缓倒入牛奶。你会看到牛奶最终浮于咖啡上层且分界鲜明。现在,将这个系统静置一段时间。由于玻璃杯中的分子无序地左冲右突,原本分界鲜明的两层液体最终混合在一起,而该系统的熵也随之增高。
但是别忘了,玻璃杯中没有任何阻力能够阻止该过程以相反的顺序发生。在一杯棕色的牛奶、咖啡混合饮料中,所有分子都自由且无序地运动者,也许出于某种偶然,这些分子会重获秩序,并重新分界鲜明地回到一层咖啡、一层牛奶的状态。可惜的是,这种情况根本就不可能发生!
时间的箭头
一个物理系统总是从低熵向着高熵发展。正是这种熵增的单方向趋势给了我们一种直观感受,认为时间是从过去向着未来流逝的。也正是这种不可逆转的特性频繁地出现在我们的日常生活中,为我们积累了大量经验,鸡蛋摔碎、玻璃破裂、牛奶与咖啡混合、热水最终变冷,从里向外挤牙膏很容易,把牙膏塞回牙膏皮里却很难。
熵就是一种向无序发展的秩序,是结构性屈服于随机性的秩序。宇宙开始于一种低熵的状态,这也是为什么各种形式的生命都是有可能诞生的。从那时起,熵就一直在增高。我们的太阳最终会迎来死亡,银河系中的所有恒星都终将死亡。整个宇宙将慢慢崩塌,最终达到最大熵或热平衡(Thermal Equilibrium)的状态,届时能量与质量将均匀分散在整个宇宙中,那时宇宙将变成一个寒冷、黑暗又苍凉的地方。
但是想想看:如果宇宙起始于一个高熵的状态,恒星将不可能形成,地球也不可能诞生,更不会出现我们这些生命。至于宇宙为什么诞生于一种异常的低熵状态,这仍然是个谜,但是宇宙自诞生之日起就势不可挡地向着高熵状态发展,恰恰是这股势头让我们觉察到了时间的存在。
时间诞生于无知
我们会说一个完整的茶杯要比一堆茶杯碎片来得更特别,也更异常。然而,如果你立志要记下茶杯中每一个分子的准确位置,你会发现每一种可能的态都是同样特别的,而且每一种态都会引发同样丰富的可能性。之所以茶杯发生的不同事件会引发我们的秩序感或无序感,是因为我们主观地将完整的茶杯视为一种状态,而将所有那些茶杯破损的态全部归类为另一种状态。
如果我们能够彻底分门别类,把每一种可能发生的茶杯破碎的态单独归为一类状态,我们就会发现:其实每一种茶杯的态都是特别的、异常的,而且也都是概率相等的。在这一讨论范畴中,熵根本没有意义。
(试图理解时间)就像是在手里捧起一片雪花:就在你研究它的时候,它会渐渐融化在你的指尖,销声匿迹。
——卡洛·罗韦利
熵并不是一种基本属性,就像温度或压力,它是一种统计学的概念。如果你分离并获取一个单独的粒子,你会发现它自身并不具备熵的特性。之所以熵的特性及概念存在,是因为我们对客观现实的理解既模糊又含混。之所以熵存在,是因为我们无法在微观状态中分辨多如牛毛的微观态,仅仅是因为我们没有这个能力。
但是,如果你有这个能力呢?如果你能准确地掌握周遭世界中所包含的全部微观亚原子状态信息,在你的感知中,时间的那种流逝感会消失吗?
答案是肯定的!当你掌握了关于这个世界的全部信息,过去与未来的区别就不复存在了。时间通道其实是一种经过歪曲后的客观现实,它来源于我们远远称不上完美的知识储备量。因此,时间实际上是诞生于无知的。
文/Viraj Kulkarni
译/菜月昴
校对/雷姆
原文/medium.com/cantors-paradise/time-is-an-illusion-born-out-of-our-ignorance-e3dd947fcf9d
本文基于创作共同协议(BY-NC),由菜月昴&雷姆在利维坦发布
文章仅为作者观点,未必代表利维坦立场
原标题:《关于时间存在的几个质疑》
本文为澎湃号作者或机构在澎湃新闻上传并发布,仅代表该作者或机构观点,不代表澎湃新闻的观点或立场,澎湃新闻仅提供信息发布平台。申请澎湃号请用电脑访问http://renzheng.thepaper.cn。





- 报料热线: 021-962866
- 报料邮箱: news@thepaper.cn
互联网新闻信息服务许可证:31120170006
增值电信业务经营许可证:沪B2-2017116
© 2014-2026 上海东方报业有限公司




