- +1
南丰县幼儿园2020年秋季招生摇号结果名单公示
南丰发布
字号

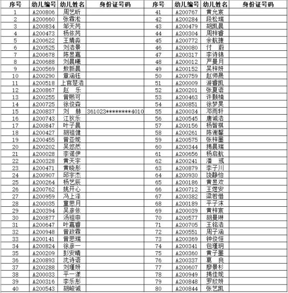
为保证活动的公开、公平、公正,此次新生幼儿名单全部由摇号产生的30名资料审核合格的幼儿家长代表摇出,邀请了县公证处工作人员为此次活动做现场公证,并邀请了县人大代表、政协委员、党代表、妇儿工委、关工委、教体局、公安、县幼儿园家委会代表现场监督,同时还邀请了县电视台记者对本次活动进行全程录像。在全体人员的共同努力和见证下,共摇出总园新生名单234个,分园新生名单116个。现予以公示:
总园新生名单





◆◆ 请以上家长于8月25日8:30—16:30带好网上报名上传的资料(户口本、出生证、预防接种证、房产证等原件和复印件),并携带一张幼儿小2寸红底免冠证件照,到县幼儿园总园一楼指定教室进行审核。
◆◆ 现场审核时,仅允许一名家长入园(不能带孩子)并佩戴口罩、配合测温,保持1米间距,防止人员聚集。
◆◆ 审核通过者到一楼保健室领取体检表,请家长按指定时间(8月26日至28日)带孩子到县妇幼保健院体检,逾期作自动弃权处理,体检时幼儿必须空腹。
◆◆ 体检时只能由一名家长陪护。
来源:县教育体育局
原标题:《南丰县幼儿园2020年秋季招生摇号结果名单公示》
澎湃新闻报料:021-962866
澎湃新闻,未经授权不得转载
+1
收藏
我要举报





查看更多
澎湃矩阵
新闻报料
- 报料热线: 021-962866
- 报料邮箱: news@thepaper.cn
互联网新闻信息服务许可证:31120170006
增值电信业务经营许可证:沪B2-2017116
© 2014-2025 上海东方报业有限公司
反馈




