- +1
含296个事业编制!茂名这些好岗位,大专起报!
找工作的小伙伴看过来
茂名这些单位都在招人
岗位多多!
总有一个适合你~
信宜市2020年事业单位公开招聘公告
根据《广东省事业单位公开招聘人员办法》(广东省人民政府令第139号)的规定,信宜市部分市直、乡镇有关事业单位公开招聘综合类、教育类及卫生类岗位工作人员。
招聘对象
一、报考人员应当具备以下基本条件:
1.具有中华人民共和国国籍,拥护中华人民共和国宪法。
2.遵纪守法,具有良好的品行。
3.具有招聘岗位所要求的资格条件(详见岗位表)。
4.具有正常履行职责的身体条件和符合岗位要求的工作能力。
5.法律、法规规定的其他条件。
二、下列人员不得报考:
1.受行政开除处分未满5年或其它行政处分正在处分期内的。
2.曾因超生被有关单位依照《广东省人口与计划生育条例》规定作出处理决定,从该处理决定作出之日起未满五年的。
3.近两年内在广东省机关事业单位招录(聘)考试、体检或考察中存在违纪或违背承诺行为的。
4.尚未解除纪律处分或者正在接受纪律审核的人员,以及刑事处罚期限未满或者涉嫌违法违纪正在接受审计、纪律审核,或者涉嫌犯罪,司法程序尚未终结的。
5.法律法规和规章规定不宜聘用为事业单位工作人员的其他情形。
招考岗位信宜市2020年事业单位
公开招聘工作人员岗位表
(综合类)
(点击可查看大图)信宜市2020年事业单位
公开招聘工作人员岗位表
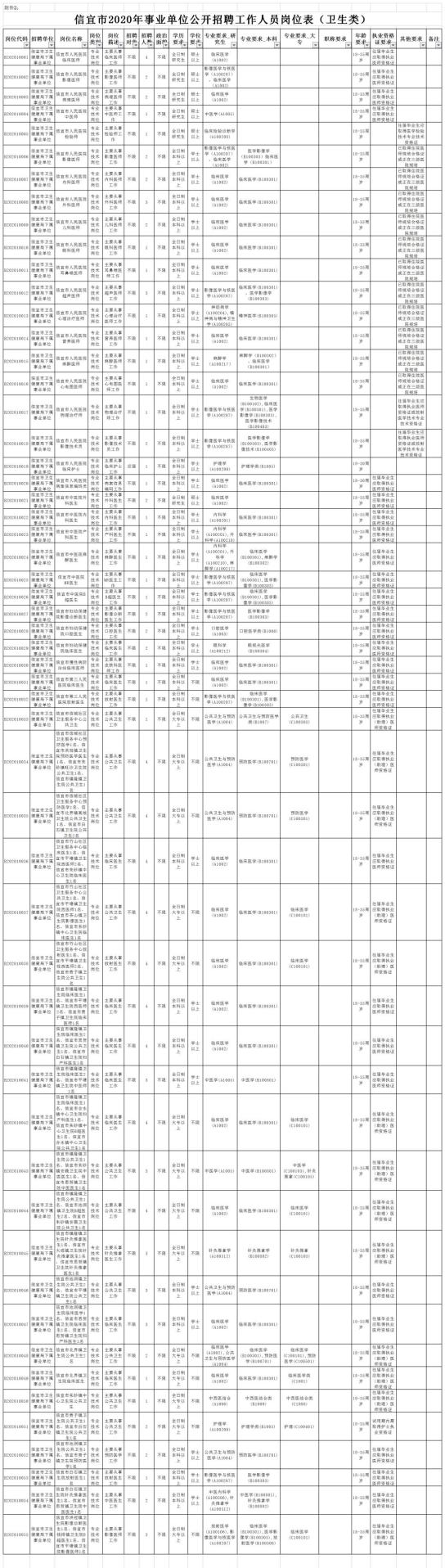
(卫生类)
(点击可查看大图)信宜市2020年事业单位
公开招聘工作人员岗位表
(教育类)
(点击可查看大图)报考事宜
一、报名时间
2020年11月9日至2020年11月11日(9:00-17:30);
二、报名方式
采用网上报名方式,应聘者请登录信宜市2020年事业单位公开招聘报名系统“http://61.146.233.115:801/”,按提示进行报名。
三、资格初审
应聘者在网上报名后,由工作人员对考生的报名信息进行资格初审,请考生在报名成功后及时登录报名系统查询资格初审结果。
四、打印准考证
打印准考证时间为2020年11月18日至2020年11月20日(9:00-17:30),请考生自行在网上打印准考证。
薪酬待遇
获聘人员为事业编制人员。试用期满后经考核合格的,按规定办理聘用手续,按所聘岗位执行信宜市规定的薪酬待遇。
联系方式
信宜市人力资源和保障局事业单位人事管理股:0668-8815211
联系地址:信宜市新尚路60号三楼
长按二维码了解更多详情
2020年高州市公开招聘社会化工会工作者公告
根据茂名市总工会《转发广东省总工会
<广东省社会化工会工作者管理办法(试行)的通知>》(茂工字〔2019〕31号)精神,高州市总工会将通过公开招聘的形式向社会招聘社会化工会工作者28名(编外人员)。广东省社会化工会工作者管理办法(试行)的通知>报考基本条件
1.具有高州户籍的中国公民,遵守宪法和法律,道德品行良好; 2.热爱工会工作,踏实肯干,组织纪律性强,有较好适应能力; 3.具有正常履行职责的身体条件和符合职位要求的工作能力;
4.学历:大专及以上学历;
5.年龄:18至35周岁(即1984年11月5日至2002年11月4日期间出生)。
有下列情形之一的人员,不接受报考:
1.因犯罪受过刑事处罚的人员、处于刑事处罚期间或者正在接受司法调查尚未作出结论的、曾被开除公职的、受到党纪政纪处分期限未满或者正在接受纪律审查的;
2.经政府人力资源社会保障部门认定具有考试违纪行为且在停考期内的;
3.曾因超生被有关单位依照《广东省人口与计划生育条例》规定作出处理决定,从该处理决定作出之日起未满五年的;
4.其他不宜担任工会工作人员情形的。
招考岗位
(点击可查看大图)报考事宜
一、报名方式:只接受现场报名。
二、报名时间:2020年11月2日—2020年11月6日,共5天,每天上午9:00-11:30,下午3:00-5:00。
三、报名地点:高州市总工会7楼办公室(市文明路61号)。
四、报名注意事项:
1.应聘者只允许填报一个岗位。
2.填写《高州市公开招聘社会化工会工作者报名表》(一式1份),提交近期正面免冠1寸彩色照片1张,并同时提交同版电子相(命名方式:姓名+身份证号码)。
3.交验居民身份证原件、学历原件(非全日制普通高等院校学历需附学历认证鉴证原件)、户口簿原件、《社会工作者职业水平证书》原件(各附复印件1份)。
4.应聘者须认真如实填写和仔细检查所填报的资料,如因资料不全、有误或与招聘资格条件不符,所造成的一切后果,责任均由应聘者承担,属弄虚作假的,取消考试或聘用资格。
五、发放准考证
应聘者经高州市总工会审核其资格条件后,符合条件的应聘者,发给准考证,领准考证时间在高州市人力资源和社会保障局政府信息公开(http://www.gaozhou.gov.cn/mmgzrlzyj/gkmlpt/index)通知,请考生密切留意,不按时领取准考证,责任自负。
薪酬待遇
一、工资2500元/月,按政策规定缴纳各项社会保险。
二、享受用人单位聘用人员同等福利待遇。
联系方式
高州市总工会办公室:0668-6627828
长按二维码了解更多详情
茂名市自然资源局滨海新区分局
招聘劳务派遣工作人员公告
因工作需要,茂名市自然资源局滨海新区分局决定公开招聘一批劳务派遣工作人员。
报考基本条件
一、报考人员应当具备以下基本条件:
1.具有中华人民共和国国籍,拥护中华人民共和国宪法;
2.全日制本科或以上学历,具备良好的电脑操作能力、语言表达沟通能力、文字综合组织能力。
3.年龄35周岁以下( 1984年10月23日以后出生),具有正常履行职责的身体条件,具有符合职位要求的工作能力。
4.遵纪守法、诚实守信、品行端正、事业心强、无违法违纪行为。
5.法律、法规规定的其他条件。
二、下列人员不得报考:1.因犯罪受过刑事处罚,被开除中国共产党党籍,被开除公职,被依法列为失信联合惩戒对象的人员;2.隐瞒、编造虚假个人资料和经历的;3.法律、法规、政策规定不得招聘的其他情形的。
招考岗位
茂名市自然资源局滨海新区分局招聘劳务派遣工作人员10名,其中人秘法制股职员1名(要求中国语言文学类专业),用途管制与开发利用股职员2名(其中要求土地资源管理专业1名、海洋工程类专业1名),调查确权与执法股职员1名(要求法学类专业),国土空间规划股职员1名(要求城乡规划类专业),综合岗职员5名(要求符合管理学类、建筑类、测绘类等相关专业)。
报考事宜
一、报名时间:即日起至2020年10月30日
二、报名方式:本次公开招聘采取网上报名方式(本次招考不收取考务费),报考人需在网上下载填写《茂名市自然资源局滨海新区分局公开招聘劳务派遣工作人员报名表》,并将报名表、学历证书、本人身份证或其它有效证件的扫描件(照片)及本人独立起草的综合性文稿等文字材料1篇及撰写500字左右的个人简介材料发送至邮箱:bhxqfj@163.com。
三、资格审核:按照招聘条件对报名人员进行资格审核。经审核后,在我分局网站上公布面试人员名单及面试时间,请参加面试的人员在名单发出后3个工作日内带报名表及学历证书、本人身份证或其它有效证件的原件和复印件到茂名市自然资源局滨海新区分局人秘法制股进行资格复核,因应聘人员自身原因在规定时间内不按时到场者,视为自动放弃资格。
四、资格审查贯穿于招聘工作全过程,报名与参加考试时使用的身份证必须一致,一旦发现报考人员与拟聘用职位所要求条件不符及提供虚假材料的,立即取消考试或聘用资格。
薪酬待遇
根据有关规定,由第三方为聘用人员办理劳动合同签订事宜,工资待遇参照滨海新区雇员标准,月工资待遇均为6200元(含购买“五险一金”),享受法定假日和带薪年休假。
联系方式
联系地址:茂名市电白区电城镇府前大道茂名市自然资源局滨海新区分局
联系人及联系方式:吕先生,0668-5344488
原标题:《含296个事业编制!茂名这些好岗位,大专起报!》
本文为澎湃号作者或机构在澎湃新闻上传并发布,仅代表该作者或机构观点,不代表澎湃新闻的观点或立场,澎湃新闻仅提供信息发布平台。申请澎湃号请用电脑访问http://renzheng.thepaper.cn。





- 报料热线: 021-962866
- 报料邮箱: news@thepaper.cn
互联网新闻信息服务许可证:31120170006
增值电信业务经营许可证:沪B2-2017116
© 2014-2026 上海东方报业有限公司




