- +1
文小刚:标准模型还不是一个自洽的理论+温伯格演讲
原创 文小刚、温伯格 返朴 收录于话题#众妙之门1个
2020年11月7日腾讯WE大会上,1979年诺贝尔物理学奖得主史蒂文·温伯格在线向公众介绍了理论物理至今最成功的理论——标准模型。作为粒子标准模型创造者之一,温伯格教授见证了20世纪理论物理的辉煌。但是在他看来,标准模型还远不是一个完美的理论,它仍有诸多的悬而未解的问题,这些问题或许隐藏着我们至今还未触碰到的宇宙更深层的奥秘。文小刚教授在阅读了演讲稿后,又提到了一个不常提到,但是更为严重的问题,即关于标准模型定义本身,在理论上它并不是一个自洽的模型。
撰文 | 文小刚(美国麻省理工学院教授)
虽然描写所有基本粒子的标准模型,已经获得了诺贝尔奖,但大部分高能物理学家认为标准模型有很多疑惑和问题。大家谈论比较多的是等级问题,其实这里的问题相当严重。比如说质子质量比电子质量大了近2000倍,像2000这么大的基本常数到底是怎么来的?顶跨克质量是电子质量的40万倍,40万这么大的基本常数又是怎么来的?
标准模型还有一个更加严重的问题,它甚至还不是一个自洽的理论,只是大家很少提及这一问题。说得更仔细一些,目前标准模型是用一个级数展开(也称之为微扰展开)来逼近定义的。如果我们只取级数展开的前几项,标准模型会给出跟实验非常接近的结果。所以大家说它是一个非常成功的理论。可是,如果我们取级数展开的前几百项,标准模型的结果将跟实验有很大的差距。我们取级数展开的项越多,标准模型的结果就跟实验的结果差距越大,甚至会趋于无穷大。所以由级数展开来逼近定义的标准模型,在理论上并不是一个自洽的模型。
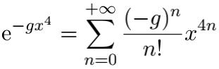
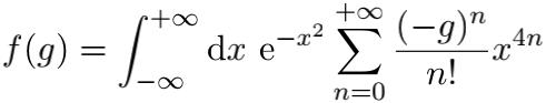
下面我用一个简单的例子来解释一下,标准模型级数展开(微扰展开) 像是什么样子。我们考虑下面这个积分

在这种走投无路的情况下,我们对
做级数展开



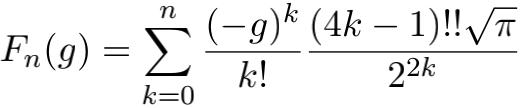
从而得到下面的级数展开


可不幸的是,当n趋无穷的时候,Fn(g)根本就不收敛。比如当g = 0.01的时候F80(0.01)和F81(0.01)可以相差106。当n更大的时候,这个差距也会变得更大。我们的级数展开,当n趋无穷的时候,根本不能逼近一个具体的数值,所以一点用都没有。

这就是我们当前对标准模型理解的水平。如果我们只计算头几阶近似, 我们得到的结果跟实验吻合得很好。可是当我们想要得到更好的结果来计算更高阶的近似的时候(近似的阶数超过几十的话),我们发现我们的结果会越来越差。这一尴尬的情况反映了我们对标准模型没有基本的理解。给标准模型一个非微扰的完整的数学定义,还是一个很重要的有待解决的问题。有趣的是,近十年来凝聚态物理在拓扑物态方面的进展,导致对这一问题有了一些突破。
参考资料
[1] “A lattice non-perturbative defifinition of an SO(10) chiral gauge theoryand its induced standard model” Xiao-Gang Wen, arXiv:1305.1045[2] https://xgwen.mit.edu/blog/solution-chiral-fermion-problem-or-not
温伯格:标准模型为何不完美?
演讲人 | 温伯格(美国德州大学奥斯汀分校物理学和天文学教授)

在我读研究生的上世纪50年代,理论物理取得了巨大的成功。比如量子电动力学理论的发展,这是一种关于光的量子理论,讲的是电子与电磁场的相互作用。经过十多年的研究,理论物理学家想出了如何在该理论下进行计算,并由此计算出了小数点后很多位的预测性结果,而这些计算结果后来也被实验证实了。
实际上,理论和实验之间的吻合程度已经到达前所未有的高度,比如对电子磁场强度的计算。基于这一成果,我们希望能够对已知的其它基本相互作用也取得类似的突破,比如超越量子电动力学所涵盖的电磁力之外的作用力。我们知道有一些强大的相互作用让中子和质子结合形成原子核,原子核的直径比原子要小数万倍,而核反应释放的能量也部分源于这些强大的作用力。
我们所知的弱相互作用(四种基本相互作用之一),在一个较长的时间尺度上进行。它会导致原子核衰变,衰变时一个中子会衰变成一个质子,并释放出一个电子和一个中微子。这些作用的存在就带来了问题,量子电动力学并没有对这些作用做出解释,我们希望能建立一种类似的理论来解释。
上世纪六七十年代我们提出了一个理论,一组方程囊括了强相互作用、弱相互作用和电磁相互作用,也就是大家所知的(基本粒子)标准模型。除了我们已知的电磁场,自然界还存在其它11种场(共12种基本粒子)。我们已知的大多数自然界作用力都与这12种场有关,只有一个特例,我稍后会说到。除了电子,物质还包含其它多种粒子,比如和电子类似但质量更大的带电粒子;再比如和电子类似但表现为电中性的粒子,也就是中微子。还有组成中子和质子,参与强相互作用的粒子,被称为夸克。一个中子或质子由三种不同类型的夸克组成。关于夸克与带电粒子,以及12种场的理论与量子电动力学理论非常类似。如果你不知道有多少种场和多少种构成物质的粒子,那么你可能看到这个理论后会感到迷惑。
我们在上世纪50年代开始相关研究,那么究竟是什么让我们无法将其简单化处理?主要是我们确实在理解上遇到了困难,难点之一就是所谓的对称性破缺。实际上,标准模型已经在很大程度上被简化了,但在处理实际现象时,这种简单性消失了。
我们花了很多时间才弄清楚,还有一种叫做color trapping(色禁闭)的现象。夸克也有和电荷量类似的基本量子数,我们称作“色”(“色”荷量子数是物质世界的一个基本特征)。这名字不是很好,但我们就是这么叫的。“色”荷与电荷的区别在于,如果我们把两个带电粒子拉开,即使它们之间相互吸引,引力会随着距离增大而减弱,也就是说吸引力与距离成反比。而在拉开两个夸克时,吸引力会随着距离变大而增强,所以我们永远也无法分开两个夸克。到目前我们还未在探测器看到夸克单独存在的迹象,它们是无法分开的。
我们相信这些观点是因为我们认同导出这些观点的理论。理论表明每个中子或质子都是由三个夸克组成的,这是成立的,因此我们就认为夸克是真实存在的。而对于标准模型来说,理解并解决了对称破缺和色禁闭等问题后,这个理论看起来很不错。到了上世纪七八十年代时,各种实验也给出了证实。实验中发现了许多标准模型预测存在的新粒子,因而这些理论也成了物理教科书中的“标准”部分。
但为什么理论物理学家还是高兴不起来?为什么我们还是对理论不满意?为什么我们要去向政府申请建设更大的粒子加速器,开展更多的实验,从而突破标准模型的界限?原因有几个方面:一个是标准模型本身有一些常数需要被规定,要依此做出理论预测。比如,除了电子的电荷量,还有两种类似的量需要从实验中得出。除了电子的质量,我们还要知道与电子和夸克类似的其它带电粒子的质量,也就是需要从实验中测出理论中给出总共9种粒子的质量。大家可能会问:这有那么难吗?毕竟牛顿在建立引力理论的时候,他要做的是通过观测来得出太阳系不同行星轨道的半径,不是什么都能靠纯理论得出结果的。
现实就是这样,不同之处在于,太阳系的形成是一系列巧合的结果。这些巧合使得行星在距离太阳不同远近的地方形成,但我们并不认为标准模型也是巧合。标准模型规定的量很可能意味着宇宙的深意,而我们还不能确定那是什么。看着这些质量和电荷的数值,它们似乎传递着我们尚无法理解的信息,这就是困扰我们的问题之一。
我们不只是不知道这些数值是怎么得出的,还有一个问题就是,我们发现其中一些数值看起来非常奇怪。比如质量比,质量比的数值是像10或100这样的数字,很难想象这是经过计算得出的数值。还有电荷比,我们只需要三个电荷就能描述弱相互作用和电磁相互作用,这些比率像是1或10的因数,它们和1没什么太大区别。也许未来才有可能计算出结果,总之我们现在还做不到。
还有一些比率也很奇怪,例如标准模型中涵盖的所有粒子的质量标度。电子、夸克等具有作用力的粒子等等,它们的质量都取决于一个必须被引入的质量参数,是遍布整个宇宙的某种场的质量参数。这个参数大约是质子质量的250倍,我们不知道其中原因,但250这个数字还是有点特别的。
还有一些描述自然界的参量与众不同,其中之一就是标准模型中没有给出解释的一种相互作用——引力。引力很弱,因为通常我们都在低能区观测。引力有这样一个质量标度,这个质量标度下的粒子相互吸引,其吸引力不亚于原子核内(中子和质子之间)的强相互作用。这一质量标度被称为“普朗克尺度”,是马克斯·普朗克于1900年提出的,普朗克尺度比标准模型中的质量标度大了约16个数量级。也就是1后面有16个0的那么一个倍数,那是一个巨大的数值,为什么是这样一个数值?
还有一个非常巨大的能量值。和刚才我说到电荷类似,强和弱相互作用的强度也取决于类似电荷量的色荷和弱荷。粒子所能带的电荷、色荷、弱荷的数值相差很大,这三个数量的数值相差很大,最大的那个是其它两个的一百倍左右,但这三个数值都和能量相关。当能量增加时,这三个荷的数值会慢慢接近,到某个巨大的能量值,它们会趋近于相等。而这个能量值和普朗克尺度的数值相差并不算大,大概比普朗克尺度小了10或100倍。所以我说宇宙中数字尺度是很神秘的,自然界存在(四种)基本作用,引力的强度处于一个特别的数量级。而标准模型中研究的其余基本作用,它们的强度大概比引力的强度小了16或14个数量级,我们称之为“等级问题(hierarchy problem)”。是什么造成了不同相互作用强度上的等级差异?
还有更麻烦的,如果从另一个方向出发,也就是从那些非常小的能量标度来看,也有一个标度是我们不理解的。我们知道每个单位体积的真空区域都有一定的能量,但这个能量非常小,而宇宙的空间是巨大的。这些能量加起来可以影响宇宙的引力场,进而影响宇宙膨胀。1998年天文学家们发现宇宙在加速膨胀(即有可能是这种能量引起的),现在我们能够估算出导致这种宇宙膨胀加速的能量尺度,这个数值大约比标准模型中的能量标度小16个数量级左右,这又是一个奇怪且差异巨大的数字。为什么会是这样一个数字?我们还是不知道。
最后我还是想说点乐观的事来收尾。上世纪50年代我读研究生的时候,我很羡慕前辈们在量子电动力学领域取得成功,而我们这一代理论物理学家建立了标准模型,将前辈们的成果成功向前推进了一大步。除了引力相互作用,标准模型解释了自然界存在的其它所有相互作用,并让我们发现了其它粒子。理论物理学家的工作尚未完成,我们引以为傲的标准模型并不是最终答案。
今天,年轻一代的理论物理学家们,你们也有自己的使命,那就是解释与自然界不同现象有关的这些巨大、神秘的数字。祝你们好运!
本文速记由腾讯WE大会提供,经《返朴》整理后发表。
版权说明:欢迎个人转发,任何形式的媒体或机构未经授权,不得转载和摘编。转载授权请在「返朴」微信公众号内联系后台。
原标题:《文小刚:标准模型还不是一个自洽的理论+温伯格演讲丨众妙之门》
本文为澎湃号作者或机构在澎湃新闻上传并发布,仅代表该作者或机构观点,不代表澎湃新闻的观点或立场,澎湃新闻仅提供信息发布平台。申请澎湃号请用电脑访问http://renzheng.thepaper.cn。





- 报料热线: 021-962866
- 报料邮箱: news@thepaper.cn
互联网新闻信息服务许可证:31120170006
增值电信业务经营许可证:沪B2-2017116
© 2014-2026 上海东方报业有限公司




