- +1
今天,致敬这位“国宝”级别大人物!
“日月之行,若出其中;
星汉灿烂,若出其里。”
江门文化底蕴深厚,
孕育了不少灿若星辰的历史名人。
“江门的土地
哺育了这位中国人民的儿子,
他也是江门和全中国人民的骄傲。”
今年,
是被誉为“国宝”的陈垣先生诞辰140周年。
点击下方视频,
了解陈垣先生↓↓↓
就在今天,
一场纪念陈垣诞辰140周年的座谈会
及学术交流会在北京师范大学举行,
一批专家教授将
分享交流陈垣的研究成果和经验。
陈垣故居位于棠下镇石头村。郭永乐 摄日前,
由江门市委组织部、蓬江区委组织部
共同制作的纪录片《“国宝”陈垣》
在棠下镇石头村陈垣故居开机。
据了解,该片将以客观、真实的角度还原陈垣先生的生平事迹,向观众展示陈垣先生与时俱进的政治站位和严谨认真的治学态度。点击下列图片或长按识别二维码
一起来了解大师生平吧!
陈垣(1880-1971),字援庵,世界级的历史学家,杰出的教育家,伟大的爱国主义者。1880年11月12日生于新会石头乡富冈里(今江门市蓬江区棠下镇石头村)。二十世纪初期,陈垣投身反对封建专制、列强侵略的斗争。1912年民国成立,当选为众议员。1913年起定居北京,曾任教育部次长。二十世纪二十年代以后,专力于教育及史学研究。陈垣从十八岁开始教蒙馆,先后在小学、中学、大学任教。1926年起任辅仁大学校长,1952年起任北京师范大学校长,直至逝世。先后任教七十四年,桃李满天下,并在教学上多有创新。
陈垣先生是我国老一辈的史学大师,在国内外史学界享有盛名。他在历史学的许多领域都作出了独创性的工作。他是宗教史的权威之一,对世界三大宗教——基督教、伊斯兰教和佛教在我国流传的历史都有深刻的研究,还有许多关于道教史、犹太教史、火祆教史、摩尼教史的著作。
△陈垣他对历史学的一些辅助学科,如年代学、校勘学、避讳学等,作了总结性的工作。在断代史方面,他对五代、宋、元、明、清史,特别是元史,有深入的研究。他一生为我们留下了科学态度异常严谨的三百余万字的史学著作。

△毛主席与陈垣在怀仁堂国宴上亲切交谈。1951年11月1日,陈垣参加在怀仁堂举行的国宴,与毛泽东主席同席。毛主席向别人介绍说:“这是陈垣先生,读书很多,是我们国家的国宝。”
热爱中华 赤诚报国
陈垣祖辈在广州经营药材生意,少时随父居广州,读私塾,习四书五经。13岁始读张之洞的《书目答问》和《四库全书总目提要》。1897年参加顺天府乡试,未中。1900年新会乡试第二名,1901年考取秀才,自学成才。

△陈垣少时所读书籍。
△陈垣与家人合影。1907年,陈垣先生在广州振德中学任教,不久以后,他进博济医学堂学习。他“当时认为要使中国摆脱落后的状态,一定要使科学发达起来”,他选择了医学作为自己救国救民的职业。1909年,陈垣与友人创办光华医社、光华医学专门学校和光华医院。
△博济医学堂旧貌。1909年3月,光华医学专门学校正式开学,这是中国第一所民办的西医高等学校。陈垣作为该校的创办人之一,从博济医学堂退学,进入光华医校三年级作插班生,因此也是该校第一届毕业生。
△《光华毕业生通讯录》,陈垣为第一期毕业生。1910年,陈垣从广州光华医学专门学校毕业后留校任教,教授解剖学、细菌学等课程。1908年和1910年,他先后发表了《王勋臣像题词》和《中国解剖学史料》两篇关于中国解剖学史的奠基性文章。
1905年,陈垣与友人潘达微、高剑父等在广州创办《时事画报》,并负责报中文字。
△1905年,陈垣与潘达微、高剑父等在广州十八甫69号创办《时事画报》。1905年,美国强行续订带有种族歧视的《华工禁约》,各地纷纷组织“拒约会”,形成了群众性的反美爱国运动。陈垣在广州被推选为“拒约会”负责人之一。
△广东拒约公所旧址 (在今广州一德路)。
△《震旦日报》。1911年,陈垣与康仲荤等在广州第七甫77号创办《震旦日报》,主要有论说、新闻、京省要闻等栏目并有副刊《鸡鸣录》,陈垣任编辑及副刊主笔。
陈垣在《时事画报》《震旦日报》上发表了大量寓意反满清政府、反对封建专制的文章,这些文章除借金、元影射清朝外,主要利用清朝皇帝“上谕”中反映清政府实行民族歧视、 民族压迫的政策,进行反清宣传。
1912年,陈垣参加了广东医学共进会。1912年5月,陈垣与医学共进会成员欢迎孙中山先生等,并合影留念,同摄影者有孙中山、陈垣等三十六人。
△广东医学共进会同仁欢迎孙中山先生的合影,一排左五孙中山,三排左一陈垣。陈垣先生的学术贡献
抗战时期,陈垣时任辅仁大学校长。八年间他坚守辅仁,坚持民族气节,发扬爱国精神,敌人多次拉拢其担任敌伪职务,均被严词拒绝,辅仁大学及附中一直拒绝悬挂日伪旗。
△1940年,陈垣在辅仁大学校长室办公。抗战期间,陈垣不遗余力地在辅仁学生中倡导“品行”、“读书”,勉励青年要爱护名誉,认真读书,为国家保留“读书种子”,以保中国文化不亡。
△1942年4月,陈垣在辅仁大学返校节运动会上演讲《孔子开运动会》的故事。
△1942年,《辅仁生活》对陈垣讲孔子开运动会的报道。陈垣先生在这一时期的研究工作也达到一个新的高峰。越是环境险恶,他越是勤奋写作。他提倡经世致用和“有意义之史学”,以书斋作战场,以纸笔为武器,阐发中国历史上的爱国主义传统,以此借古喻今,痛斥日寇侵略和汉奸卖国。八年中,他写成的专著就有《释氏疑年录》《明季滇黔佛教考》《清初僧诤记》等。可以说,这是他一生中著作最丰盛的时期。
《通鉴胡注表微》是抗战时期寄托陈垣爱国思想的力作,其重要内容之一就是阐释胡三省的“亡国之痛”,以抒发自己对国土沦丧的悲愤之情及其力主抗日、反对妥协的爱国立场。
△《通鉴胡注表微》稿。在敌伪统治下的北平,陈垣先生写出这样的史学著作,对广大有爱国心、不甘心为亡国奴的知识分子,是很大的鼓舞。在今天看来,这部著作仍然延续它的学术生命力。
辛勤培育 桃李满园
陈垣先生既是一位世界级的大史学家,也是一位可为百世师表的大教育家。
1898年,陈垣开始在蒙馆教书,是为平生教学生涯之开端。1905年起,他先后在广州义育、振德等中学讲授文史课程。1906年,为暂避清政府的迫害,陈垣先生回到家乡江门,在篁庄小学教国文、算学、体操、唱歌等当时还是很新鲜的科目。
△陈垣自著简谱中对蒙馆授徒的记载。
△1957年9月1日,陈垣(右)与在篁庄小学教书时的学生欧阳锦堂在北京相聚。1910年,他从广东光华医学专门学校毕业,留校讲授解剖学、细菌学等。1920年华北大旱,大批灾民涌入北京,他在1921年先后创办孤儿工读园和平民中学,任园长和校长。
1922年,陈垣任北京大学研究所国学门的导师,此后先后在辅仁大学、燕京大学、北平师范大学等大学任教。
△1924年,陈垣(前排左二)与北京大学研究所国学门全体同仁合影。
△1934年,陈垣与北平师范大学师生春游时合影。1926年起,陈垣任辅仁大学副校长、校长,至1952年高等学校院系调整,改任北京师范大学校长直至逝世,担任大学校长前后共四十六年。
△1952年,教育部任命陈垣为北京师范大学校长的公告。与时俱进的教育思想
陈垣在辅仁大学时,将国文课设为一年级的必修课,自己组织编写教材并担任一个系的国文课。陈垣长期在北京高校历史系开设“中国史学名著选读”“中国史学名著评论”两门基础课,为学生打下坚实的史学基础,这两门课程已成为各大学历史系的基础课程。
陈垣开设的“史源学实习”一课,重点在于带领学生开展史源考辨的实践,通过实践教会学生阅读古书和从事研究的能力。陈垣还在多次讲话中强调实践能力的重要意义。
△1945年6月,陈垣与辅仁大学选修《史源学实习》课同学合影。
△选修《史源学实习》课程学生的作业。行之有效的教学方法
陈垣对教材非常重视,亲自参与编制《国文课本》,其担任的“中国史学名著选读”“中国史学名著评论”每年都精选教材;他先后选择《廿二史札记》《日知录》《鲒埼亭集》等作为“史源学实习”的教材, 也是经过周密考虑的。
△陈垣读《鲒埼亭集》札记。陈垣在新会篁庄小学教学时就采用灵活的教学方法丰富课堂气氛,他在大学教学时更是注重课堂氛围。此外,他备课非常认真,即便教过几次的课程,也要认真备课,修改或补充内容。
△陈垣在国文课本上做的批注。
△陈垣在古文课本上做的标记。
△陈垣在《史源学实习》课的学生李瑚的作业上所作的批改。陈垣先生和弟子
陈垣先生教育生涯长达七十余年,“桃李满天下”。许多著名的历史学者都是他的学生,如江苏师范学院柴德赓,北京师范大学启功、刘乃和、白寿彝,台湾大学方豪,岭南大学容庚、中国科学院哲学研究所容肇祖,中央民族学院陈述,北京大学周祖谟,云南大学方国瑜等等。
△1934年1月,与辅仁大学部分教师合影。左起:牟润孙、张鸿翔、 陈垣、台静农、柴德赓、储皖峰。牟润孙等均是陈垣教过的学生。
△1947年12月27日,陈垣与启功、刘乃和、柴德赓等岁末在北海冬游。
△1959年7月6日,陈垣与北京师范大学历史系教师座谈。左一白寿彝,右一陈桂英,右二刘乃和。
△1961年2月17日,陈垣与陈述在励耘书屋论学。
△1964年12月,陈垣与谭其骧(右)、方国瑜合影。身处京城 心系南粤
陈垣先生早年便离开家乡,期间除曾回篁庄小学教书外,再无缘服务桑梓。但其对家乡的风情、古迹、山河、人物始终充满怀恋之情,这份感情主要体现在他的四首忆乡诗中:《题胡金竹先生草书千字文》《汉姪书来知询虞八叔及耀东大兄近状以此寄之》《寄汉姪石头》《寄汉姪太祖祠》等。
△《陈垣全集》所录的四首忆乡诗。
△香港《大公报》1980年11月11日《陈垣的家系与故乡》一文中刊登了陈垣的四首忆乡诗。
△香港《大公报》1980年12月7日《陈垣二三事》一文对陈垣的四首忆乡诗进行了考证。1932年,新会士绅拟重修《新会县志》,于1933年成立新会县修志委员会,另设修纂委员会,函聘陈垣为总纂。陈垣初以责任重大,且未能离校,一再坚辞,经县修志会多次函请,最后决定陈垣“无须长川驻会”从而接受聘任。
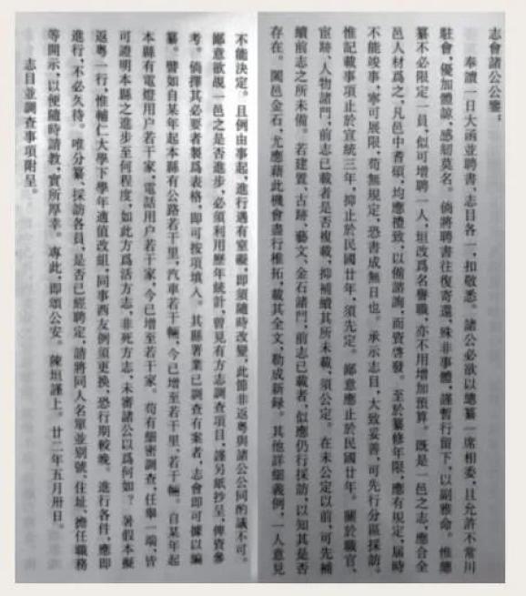
△新会县修志委员会会议记录。
△1933年2月新会县修志委员会函请陈垣任总编纂。陈垣受聘后,满腔热情,先是介绍黄霄九担任收掌员,然后撰写修志提纲,修改《采访征例》,而且在信函中提出了很多修志意见。
△1933年5月,陈垣接受聘任并对修志提出意见。但后来,陈垣得知修志经费不足,访员成效甚微,特别是贪官污吏、土豪劣绅朋比为奸,如此修志必将一事无成,遂坚决辞掉了总纂职务。
△1934年8月,陈垣辞去总编纂的电文。1930年,石头村陈氏为方便路人休息、避雨,拟在江门到棠下公路石头段建避雨亭,陈垣为倡建人之一,宁远堂对此事亦大力支持。避雨亭建成后,将建亭缘由、捐助人、倡建人姓名等刻于石碑。
峥嵘岁月,一代大师。在江门,
他是一座不朽的文化丰碑,
是激励干部群众奋发图强、敢于拼搏、
勇于创新的巨大精神源泉。
今天,
让我们致敬大师,
传承“陈垣精神”!
来源:综合自江门发布、南方+
运营:江门日报新会站新媒体工作室喜欢此内容的人还喜欢
原标题:《今天,致敬这位“国宝”级别大人物!》
本文为澎湃号作者或机构在澎湃新闻上传并发布,仅代表该作者或机构观点,不代表澎湃新闻的观点或立场,澎湃新闻仅提供信息发布平台。申请澎湃号请用电脑访问http://renzheng.thepaper.cn。





- 报料热线: 021-962866
- 报料邮箱: news@thepaper.cn
互联网新闻信息服务许可证:31120170006
增值电信业务经营许可证:沪B2-2017116
© 2014-2026 上海东方报业有限公司




